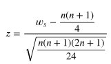
Performing a Wilcoxon Test In Exercises 3–8,
d. find the test statistic.
[APPLET] Calcium Supplements and Blood Pressure In a study testing the effects of calcium supplements on blood pressure in men, 12 men were randomly chosen and given a calcium supplement for 12 weeks. The table shows the measurements for each subject’s diastolic blood pressure taken before and after the 12-week treatment period. At α = 0.01, can you reject the claim that there was no reduction in diastolic blood pressure? (Adapted from The Journal of the American Medical Association)

