BackSleep and Circadian Rhythms: Regulation, Mechanisms, and Endocrine Connections
Study Guide - Smart Notes
Tailored notes based on your materials, expanded with key definitions, examples, and context.
Sleep: Definition, Importance, and Stages
What is Sleep?
Sleep is a naturally recurring state characterized by reduced consciousness, decreased responsiveness to external stimuli, and reduced motor activity. It is essential for cognitive, motor, and physiological functions.
Increased arousal threshold: Reduced sensitivity to sensory inputs.
Reduction of motor output: Decreased voluntary muscle activity.
Absence of consciousness: Temporary suspension of awareness of the environment.
Evidence for the necessity of sleep comes from sleep deprivation studies, which show that lack of sleep impairs cognitive, motor, and physiological functions. Chronic sleep deprivation is recognized as a form of torture due to its severe effects on health.
Stages of Sleep
Sleep is divided into two main types: non-rapid eye movement (NREM) sleep and rapid eye movement (REM) sleep. NREM sleep is further subdivided into three stages:
Stage N1: Lightest stage of sleep, transition from wakefulness.
Stage N2: Intermediate stage, characterized by sleep spindles and K-complexes.
Stage N3 (Slow Wave Sleep, SWS): Deepest stage, important for restorative processes.
REM Sleep: Characterized by rapid eye movements, vivid dreams, and muscle atonia.
Sleep Disorders: Fatal Familial Insomnia
Fatal Familial Insomnia (FFI)
FFI is a rare, inherited prion disease that leads to progressive insomnia and ultimately death. It is caused by a mutation in the prion protein gene, making it closely related to other prion diseases such as Creutzfeldt-Jakob disease.
Stage 1 (Months 1-4): Worsening insomnia, panic attacks, paranoia.
Stage 2 (Months 5-10): Hallucinations, persistent panic attacks.
Stage 3 (Months 11-14): Total insomnia, rapid weight loss.
Stage 4 (Months 15-21): Dementia, unresponsiveness, death.
Sleep Deprivation: Methods and Ethics
Experimental Approaches
Animal models, such as the "flower pot method," are used to study the effects of sleep deprivation. In this method, animals are placed on small platforms surrounded by water, preventing them from entering REM sleep without falling into the water.



Ethical considerations: Many foundational studies in sleep research involved ethically questionable or outright unethical practices. Modern research emphasizes humane treatment and ethical oversight.
Mechanisms of Sleep Regulation
2-Process Model of Sleep Regulation
The regulation of sleep is explained by the interaction of two processes:
Process S (Homeostatic drive): Sleep-wake dependent; increases with time awake and dissipates during sleep.
Process C (Circadian drive): Sleep-wake independent; governed by the internal biological clock (circadian rhythm).
The interaction of these processes consolidates wakefulness during the biological day and sleep during the biological night. This model explains phenomena such as the ease of falling asleep during shift work but difficulty maintaining sleep.

Forced Desynchrony (FD) Experiments
FD protocols involve scheduling subjects on a sleep-wake cycle outside the range of normal entrainment (e.g., 28-hour days in dim light), causing the internal clock to "free run." These experiments help distinguish between homeostatic and circadian influences on sleep.
Circadian Regulation of Sleep
The Suprachiasmatic Nucleus (SCN)
The SCN, located in the hypothalamus, is the master circadian clock. It receives direct input from the retina and regulates daily rhythms in physiology and behavior, including sleep-wake cycles.

Neural pathways from the SCN regulate sleep and wakefulness through connections to the ventrolateral preoptic nucleus (VLPO) and orexin neurons:
VLPO neurons: Promote sleep by releasing inhibitory neurotransmitters (GABA, galanin) in arousal-promoting regions.
Orexin neurons: Promote arousal and wakefulness via projections to the cortex and hypothalamus.

Endocrine Regulation: The Pineal Gland and Melatonin
Pineal Gland
The pineal gland is a small endocrine organ located near the center of the brain. It synthesizes and secretes melatonin, a hormone that signals night and promotes sleep.

Melatonin: Synthesis and Regulation
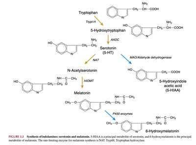
Melatonin is synthesized from the amino acid tryptophan through a series of enzymatic steps:
Tryptophan → 5-Hydroxytryptophan → Serotonin → N-Acetylserotonin → Melatonin

Melatonin production is regulated by a multisynaptic pathway:
SCN → Paraventricular nucleus (PVN) → Intermediolateral nucleus (IML) of the spinal cord → Superior cervical ganglion (SCG) → Pineal gland
Norepinephrine (NE) released from sympathetic fibers stimulates melatonin synthesis via adrenergic receptors, increasing cAMP and N-acetyltransferase (NAT) activity.
Light exposure inhibits this pathway, reducing melatonin production.
Neuropeptide Y (NPY) acts as a local inhibitor via Y1 and Y2 receptors.


Melatonin and Sleep Promotion
Melatonin does not necessarily improve sleep quality but decreases the time required to fall asleep. It acts via two G-protein coupled receptors (MT1 and MT2) in the SCN and other tissues:
MT1 activation: Regulates REM sleep.
MT2 activation: Increases NREM sleep.
MT1-MT2 heterodimers: Engage Gq signaling pathways.
Melatonin also acutely inhibits neuronal firing and phase-shifts circadian rhythms by acting on clock genes (BMAL1, PER, Rev-erb).
Hormonal Rhythms and Sleep
Other Hormones with Circadian Rhythms
Several hormones display circadian rhythms and are involved in sleep regulation:
Cortisol: Peaks in the early morning, promoting wakefulness.
Growth Hormone (GH): Peaks during early sleep, especially SWS.
Prolactin: Peaks during sleep.
Thyroid Stimulating Hormone (TSH): Peaks at night.
Summary Table: Key Components of Sleep and Circadian Regulation
Component | Function | Key Neurotransmitters/Hormones |
|---|---|---|
SCN | Master circadian clock | VIP, GABA, GRP |
VLPO | Promotes sleep | GABA, Galanin |
Orexin Neurons | Promote wakefulness | Orexin |
Pineal Gland | Secretes melatonin | Melatonin |
Melatonin | Promotes sleep onset, phase-shifts circadian rhythms | Acts via MT1, MT2 receptors |
Key Equations and Pathways
Melatonin Synthesis:
2-Process Model:
Additional info: The above equations summarize the biochemical pathway for melatonin synthesis and the conceptual model for sleep regulation.
Clinical and Societal Implications
Disruption of circadian rhythms (e.g., shift work, jet lag) increases risk for chronic diseases such as cancer, diabetes, and heart disease.
Understanding the molecular and endocrine regulation of sleep is critical for developing treatments for sleep disorders and improving public health.