BackDefinite Integrals: Properties, Area Interpretation, and Examples
Study Guide - Smart Notes
Tailored notes based on your materials, expanded with key definitions, examples, and context.
Definite Integrals
Definition and Notation
The definite integral of a function over an interval [a, b] is a fundamental concept in calculus, representing the accumulation of quantities, such as area under a curve. The process involves partitioning the interval and summing the values of the function over these partitions.
Interval Partition: The length of each interval is .
Maximum and Minimum Values: For each interval, the maximum value is and the minimum value is .
Lower and Upper Sums:
Limit Definition:
The number is denoted by the symbol

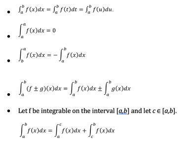
Properties of the Definite Integral
Basic Properties and Rules
The definite integral possesses several important properties that facilitate computation and understanding. These properties are essential for manipulating and evaluating integrals in business calculus.
(variable of integration can be changed)
(integral over zero-width interval is zero)
(reversing limits changes the sign)
(linearity)
If is integrable on and , then (additivity over intervals)

Geometric Interpretation of the Definite Integral
Area Under the Curve
The definite integral can be interpreted as the area under the graph of a function. If for all in , the integral equals the area under the curve. If , the integral equals the negative of the area between the graph and the x-axis.
If for all , then
If for all , then

Examples of Definite Integrals
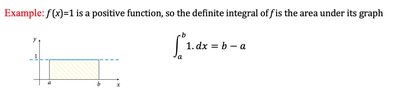
Constant Function Example
For a constant function , the definite integral represents the area of a rectangle with height 1 and width .

Piecewise Linear Function Example
Consider a function defined on with a graph consisting of two regions, and . The value of the definite integral is the sum of the signed areas of these regions.
For the given example: , , so




Additional info: The examples and properties provided are foundational for understanding applications of definite integrals in business calculus, such as calculating total revenue, cost, or accumulated change over time.