BackLimits and Their Properties: Business Calculus Study Guide
Study Guide - Smart Notes
Tailored notes based on your materials, expanded with key definitions, examples, and context.
Limits and Their Properties
Definition of a Limit
The concept of a limit is fundamental in calculus and describes the behavior of a function as its input approaches a particular value. Formally, for a function f(x) defined on an open interval containing c (except possibly at c), the limit is written as:
Limit Notation: $\lim_{x \to c} f(x) = L$
Meaning: f(x) gets very close to L as x gets very close to c.

One-Sided Limits
Limits can be evaluated from either side of a point. These are called one-sided limits:
Left-Hand Limit: $\lim_{x \to c^-} f(x) = L$ means f(x) approaches L as x approaches c from values less than c.
Right-Hand Limit: $\lim_{x \to c^+} f(x) = L$ means f(x) approaches L as x approaches c from values greater than c.

Existence of a Limit
A limit exists at a point c if and only if:
The left-hand limit equals the right-hand limit: $\lim_{x \to c^-} f(x) = \lim_{x \to c^+} f(x)$
This common value is a finite real number.

Graphical Interpretation of Limits
Limits can be visualized on graphs. Sometimes, a function is undefined at a point, but the limit exists. This is often represented by a 'hole' in the graph.
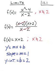
Example: For $f(x) = \frac{x^2 - 4}{x - 2}$, factoring gives $f(x) = x + 2$ for $x \neq 2$. The graph has a hole at $(2, 4)$, but $\lim_{x \to 2} f(x) = 4$.

Examples of Limits and DNE (Does Not Exist)
Limits may not exist if the left and right limits are not equal or if the function approaches infinity.
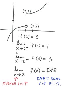
Example: If $\lim_{x \to 2^-} f(x) = 1$ and $\lim_{x \to 2^+} f(x) = 3$, then $\lim_{x \to 2} f(x)$ does not exist (DNE).
Example: If $\lim_{x \to 2^-} f(x) = +\infty$ and $\lim_{x \to 2^+} f(x) = -\infty$, then $\lim_{x \to 2} f(x)$ does not exist.

Properties of Limits
Limits have several important properties that allow for their computation:
$\lim_{x \to c} K = K$ (where K is a constant)
$\lim_{x \to c} x = c$
$\lim_{x \to c} [f(x) + g(x)] = L + M$
$\lim_{x \to c} [f(x) \cdot g(x)] = L \cdot M$

Evaluating Limits: Examples
Limits can often be evaluated by direct substitution, factoring, or using properties:
Example: $\lim_{x \to 2} (3x^2 - 5x + 4)$ $\lim_{x \to 2} 3x^2 + \lim_{x \to 2} -5x + \lim_{x \to 2} 4 = 3 \cdot 2^2 - 5 \cdot 2 + 4 = 12 - 10 + 4 = 6$

Limits of Rational Functions
A rational function is a ratio of two polynomials. The behavior of limits for rational functions depends on the values of the numerator and denominator as x approaches a point:
If the denominator approaches zero and the numerator does not, the limit approaches $\pm \infty$ (limit does not exist).
If both numerator and denominator approach zero, the limit is indeterminate; factoring or other techniques are needed.

Indeterminate Forms and Factoring
When both the numerator and denominator approach zero, the limit is called an indeterminate form. Factoring is a common technique to resolve such limits.
Example: $\lim_{x \to 3} \frac{x^2 - 5x + 6}{x - 3}$ Factor numerator: $(x - 3)(x - 2)$ Cancel $(x - 3)$: $\lim_{x \to 3} (x - 2) = 1$

Rationalizing Technique
For limits involving square roots, rationalizing the numerator or denominator can help resolve indeterminate forms.
Example: $\lim_{x \to 36} \frac{\sqrt{x} - 6}{x - 36}$ Multiply numerator and denominator by the conjugate $\sqrt{x} + 6$ to simplify.

Piecewise Functions and Transition Points
For piecewise functions, limits at transition points require evaluating one-sided limits.
Example: $f(x) = \begin{cases} 10 - 2x & x < 3 \\ x^2 - x & x \geq 3 \end{cases}$ Left-hand limit: $\lim_{x \to 3^-} f(x) = 10 - 2 \cdot 3 = 4$ Right-hand limit: $\lim_{x \to 3^+} f(x) = 3^2 - 3 = 6$ Since these are not equal, the overall limit does not exist.

Summary Table: Types of Limit Behavior
The following table summarizes the main types of limit behavior encountered:
Situation | Limit Behavior | Resolution Technique |
|---|---|---|
Numerator ≠ 0, Denominator → 0 | Limit DNE (±∞) | Check for vertical asymptote |
Numerator → 0, Denominator → 0 | Indeterminate Form | Factor or rationalize |
Both one-sided limits equal | Limit exists | Direct substitution or simplification |
One-sided limits not equal | Limit DNE | Check left/right limits |
Key Terms
Limit: The value a function approaches as the input approaches a certain point.
One-sided limit: The value approached from one direction (left or right).
Indeterminate form: An expression like 0/0 requiring further simplification.
Vertical asymptote: A line where the function grows without bound.
DNE: Does Not Exist; used when a limit cannot be determined.