BackApplications of Integration & Differential Equations – Step-by-Step Study Guidance
Study Guide - Smart Notes
Tailored notes based on your materials, expanded with key definitions, examples, and context.
Q1. A manufacturer of corrugated metal roofing wants to produce panels that are 28 in. wide and 2 in. high by processing flat sheets of metal as shown in the figure. The profile of the roofing takes the shape of a sine wave. Verify that the sine curve has equation and find the width of a flat metal sheet that is needed to make a 28-inch panel. (Numerically evaluate the integral correct to four significant digits.)
Background
Topic: Applications of Integration – Arc Length
This problem is about finding the length of a curve (arc length) described by a sine function. The arc length represents the width of the flat metal sheet before it is shaped into the corrugated panel. You are also asked to verify the equation for the sine curve that models the panel's profile.

Key Terms and Formulas
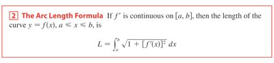
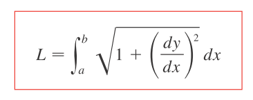
Arc Length Formula: For a curve from to , the arc length is given by:

Sine Function: models the wave shape.
Interval: The panel is 28 inches wide, so runs from $0.
Step-by-Step Guidance
First, verify that produces a sine wave with a period of 28 inches. Recall that the period of is . Set to check the period, and adjust as needed for a 28-inch panel.
Set up the arc length integral for one period of the sine wave, from to :
Compute the derivative of with respect to .
Substitute into the arc length formula to get the integrand in terms of .
Set up the definite integral from to for the arc length. This integral will give you the required width of the flat metal sheet.

Try solving on your own before revealing the answer!
Final Answer: in
Numerically evaluating the integral gives the width of the flat sheet needed to make the 28-inch panel. The sine curve equation is verified by checking the period and amplitude.
Q2. The arc of the parabola from to is rotated about the y-axis. Find the area of the resulting surface.
Background
Topic: Surface Area of Revolution
This question asks you to find the surface area generated when a curve is revolved about an axis. This is a classic application of integration in calculus.

Key Terms and Formulas
Surface Area of Revolution (about y-axis):
For , .
Limits: to .
Step-by-Step Guidance
Write the formula for the surface area when revolving about the y-axis:
Simplify the integrand: .
So, the integral becomes .
Consider using a substitution such as to evaluate the integral.

Try solving on your own before revealing the answer!
Final Answer:
Plug in the limits and to get the final surface area.
Q3. A dam has the shape of the trapezoid shown in Figure 2. The height is 20 m and the width is 50 m at the top and 30 m at the bottom. Find the force on the dam due to hydrostatic pressure if the water level is 4 m from the top of the dam.
Background
Topic: Hydrostatic Pressure and Force
This problem involves calculating the force exerted by a fluid on a submerged surface using integration. The force depends on the depth and area of each horizontal strip of the dam.

Key Terms and Formulas
Hydrostatic Force:
Pressure at depth :
Width function : Express the width of the dam as a function of depth using similar triangles.
Limits: Integrate from the water surface to the bottom of the dam (from to if the water is 4 m from the top).
Step-by-Step Guidance
Set up a coordinate system with at the water surface and increasing downward. The water depth is 16 m (since the water is 4 m from the top of a 20 m dam).
Find the width of the dam at depth using similar triangles. Express as a linear function of .
Write the pressure at depth : (where is the density of water and is acceleration due to gravity).
Set up the integral for the total force: .
Plug in the expressions for and the constants, but do not evaluate the integral yet.

Try solving on your own before revealing the answer!
Final Answer: N
The integral is evaluated using the width function and the limits for the submerged part of the dam.
Q4. The law of laminar flow: gives the velocity of blood that flows along a blood vessel with radius and length at a distance from the central axis. Compute the rate of blood flow (flux) across a cross-section of the vessel.
Background
Topic: Applications of Integration – Blood Flow (Physics/Biology)
This problem involves integrating the velocity profile across the cross-sectional area of a blood vessel to find the total volume of blood flowing per unit time (the flux).

Key Terms and Formulas
Velocity profile:
Flux (total flow):
Limits: Integrate from (center) to (edge of vessel).
Step-by-Step Guidance
Write the formula for the total flow: .
Substitute the given velocity function into the integral.
Factor out constants and simplify the integrand to .
Set up the integral and prepare to evaluate it.

Try solving on your own before revealing the answer!
Final Answer:
This is the classic result for the volumetric flow rate in Poiseuille's law for laminar flow in a cylindrical vessel.
Q5. The rate of growth of the population is the derivative . If the rate of growth is proportional to the population size, write the differential equation and describe the family of solutions.
Background
Topic: Differential Equations – Population Growth Model
This question is about modeling population growth with a first-order differential equation. The solution describes exponential growth or decay, depending on the sign of the proportionality constant.

Key Terms and Formulas
Differential equation:
General solution: , where is a constant determined by initial conditions.
Step-by-Step Guidance
Write the differential equation for population growth: .
Recognize that this is a separable differential equation. Separate variables and integrate both sides.
Integrate to find the general solution for in terms of and the constant .
Describe the family of solutions: For , the population grows exponentially; for , it decays exponentially.

Try solving on your own before revealing the answer!
Final Answer:
This family of solutions represents exponential growth or decay, depending on the sign of .