BackComprehensive Study Guide: Derivatives and Their Applications (Exam 2, Calculus I)
Study Guide - Smart Notes
Tailored notes based on your materials, expanded with key definitions, examples, and context.
Derivatives: General Rules and Formulas
Basic Derivative Rules
Derivatives are fundamental in calculus, representing the rate of change of a function. The following are the main rules used to compute derivatives:
Power Rule: For , , for real numbers .
Sum Rule:
Difference Rule:
Product Rule:
Quotient Rule:
Chain Rule:
Trigonometric, Exponential, Logarithmic, and Hyperbolic Functions also have specific derivative rules. See below for details.
Derivatives of Special Functions
Trigonometric Functions
Inverse Trigonometric Functions
Exponential and Logarithmic Functions
Hyperbolic Functions
Velocity, Speed, and Acceleration
Definitions and Formulas
These concepts are central to applications of derivatives in physics and engineering.
Velocity:
Speed:
Acceleration:

Implicit Differentiation
Concept and Steps
Implicit differentiation is used when it is difficult or impossible to solve for one variable explicitly. The process involves differentiating both sides of an equation with respect to , treating as a function of $x$.
Differentiate both sides with respect to .
Apply the Chain Rule and Product Rule as needed.
Solve for in terms of and .
Example: For , differentiating both sides gives:
Solving for yields

Finding Tangent Lines
Using Implicit Functions
The tangent line to a curve at a point is found by computing the derivative at that point, which gives the slope. For implicit functions, use implicit differentiation to find the slope.
Differentiate the equation implicitly.
Solve for .
Substitute the point into to find the slope.
Use the point-slope form:

Applications: Motion in a Gravitational Field
Example: Stone Thrown Vertically
Position, velocity, and acceleration functions describe the motion of an object under gravity.
Position:
Velocity:
Acceleration:
Maximum height occurs when .


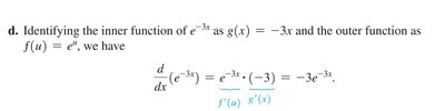
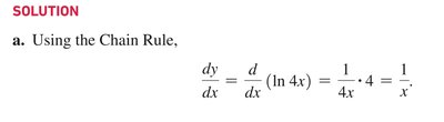
The Chain Rule
Concept and Examples
The Chain Rule is used to differentiate composite functions. If , then .
Identify the inner and outer functions.
Differentiate the outer function, then multiply by the derivative of the inner function.
Example:


Example:

Logarithmic Differentiation
Concept and Steps
Logarithmic differentiation is useful for functions involving products, quotients, or powers. The process involves taking the natural logarithm of both sides, simplifying, and then differentiating.
Take of both sides.
Simplify using logarithm properties.
Differentiate using Chain Rule and implicit differentiation.
Solve for .
Example: For , logarithmic differentiation yields

Using the Power Rule
Examples
The Power Rule is applied to functions of the form .

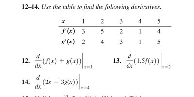
Calculating Derivatives at a Point
Using Tabular Data
When values of derivatives are given in a table, use them to compute derivatives at specific points.
x | f'(x) | g'(x) |
|---|---|---|
1 | 3 | 2 |
2 | 5 | 4 |
3 | 2 | 3 |
4 | 1 | 1 |
5 | 4 | 5 |


Derivatives Involving Logarithmic Functions
Examples


Derivatives Involving Inverse Trigonometric Functions
Examples

Higher-Order Derivatives
Finding Second and Third Derivatives
Higher-order derivatives are found by repeatedly differentiating a function.
For , , ,
For ,

Second-Order Derivatives of Trigonometric Functions
Example:

Finding Tangent Lines to Explicit Functions
Example: at (3, 2)
Find using the Quotient Rule.
Compute the slope at .
Write the tangent line equation:

Related Rates
Procedure for Solving Related-Rate Problems
Related rates problems involve finding the rate at which one quantity changes with respect to another, often time.
Read the problem carefully and organize information.
Write equations expressing relationships among variables.
Differentiate with respect to time.
Substitute known values and solve.
Check units and reasonableness of answer.

Example: Spreading Oil
Area of circle:
Differentiate:
Substitute values: m/hr


Example: Distance Between Two Moving Planes
Use Pythagorean Theorem:
Differentiating:
Solve for :
Substitute values to find the rate at which the distance changes.


Summary Table: Derivative Rules
Rule | Formula | Example |
|---|---|---|
Power Rule | ||
Product Rule | ||
Quotient Rule | ||
Chain Rule |
Additional info: This guide covers all major derivative rules, applications to tangent lines, implicit differentiation, logarithmic differentiation, related rates, and higher-order derivatives, as required for Exam 2 in Calculus I.