Skip to main content
Back

Derivatives of Trigonometric Functions: Calculus Study Notes

Study Guide - Smart Notes

Tailored notes based on your materials, expanded with key definitions, examples, and context.

Section 3.5: Derivatives of Trigonometric Functions

Introduction

Trigonometric functions are fundamental in calculus, and their derivatives are essential for solving many problems involving rates of change and motion. This section covers the derivatives of the six basic trigonometric functions, provides examples, and explores higher-order derivatives and their patterns.

Basic Derivatives of Trigonometric Functions

The derivatives of the six primary trigonometric functions are summarized below. These results are foundational for calculus and are frequently used in differentiation problems.

  • Sine:

  • Cosine:

  • Tangent:

  • Cotangent:

  • Secant:

  • Cosecant:

Table of derivatives of trigonometric functions

Numerical Limits and Derivatives

Numerical tables can help illustrate the behavior of trigonometric functions near zero, which is important for understanding limits and derivatives. For example, the limit is a key result used in calculus.

Numerical table for sin(x)/x and (cos(x)-1)/x near zero

Derivatives of Sine and Cosine: Theorems and Examples

The derivatives of sine and cosine functions are often used in calculus. The following theorem summarizes these derivatives:

  • Theorem:

  • Theorem:

Theorem: Derivatives of sine and cosine

Examples: Differentiation Using Rules

Applying the product, difference, and quotient rules allows us to differentiate more complex trigonometric expressions. The following examples demonstrate these techniques:

  • Product Rule:

  • Difference Rule:

  • Quotient Rule:

Examples of differentiation using product, difference, and quotient rules

Derivatives of Other Trigonometric Functions

For functions such as secant and cosecant, the product rule is often used to find their derivatives. The following example shows the differentiation of :

  • Product Rule:

  • Expressing in terms of sine and cosine simplifies the result.

Derivative of sec x csc x using product rule

Limit Examples Involving Trigonometric Functions

Limits involving trigonometric functions are often used to derive their derivatives. For example, the limit can be evaluated by multiplying and dividing by 4, and using the known limit .

  • Example:

  • Example:

Limit example with sin 4x over sin xLimit example with sin 3x over sin 5x

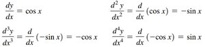
Higher-Order Derivatives of Trigonometric Functions

Higher-order derivatives of trigonometric functions exhibit periodic patterns. For example, the derivatives of and cycle every four derivatives:

Higher-order derivatives of sine and cosine

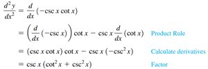
Second Derivative of Cosecant and Cotangent Functions

Calculating higher-order derivatives for functions like involves the product rule and simplification:

Second derivative of -csc x cot x

Summary Table: Derivatives of Trigonometric Functions

The following table summarizes the derivatives of the six basic trigonometric functions:

Function

Derivative

Example: Find the derivative of . Using the table, .

Additional info: The periodicity of higher-order derivatives is a useful property for solving differential equations and analyzing wave phenomena in physics and engineering.

Pearson Logo

Study Prep