BackIntegration Techniques: Integration by Parts and Trigonometric Integrals
Study Guide - Smart Notes
Tailored notes based on your materials, expanded with key definitions, examples, and context.
Integration Techniques
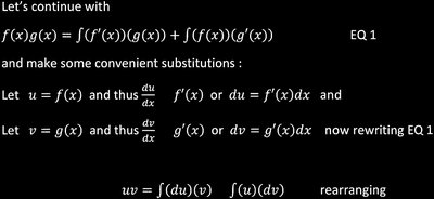
Integration by Parts
Integration by parts is a fundamental technique for integrating products of functions. It is derived from the product rule for differentiation and is especially useful when standard integration methods fail.
Product Rule for Derivatives: If and are differentiable functions, then .
Integration by Parts Formula: Rearranging the product rule and integrating both sides gives:
Or, using substitutions and :



Mnemonic: "Ultra-violet minus integral Voodoo" is a common phrase to help remember the formula.

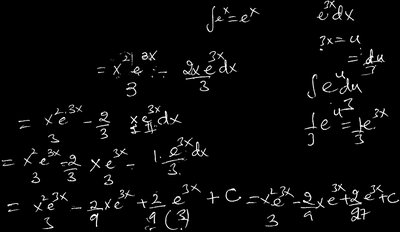
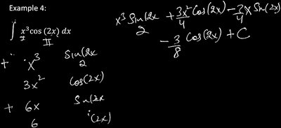
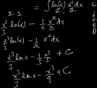
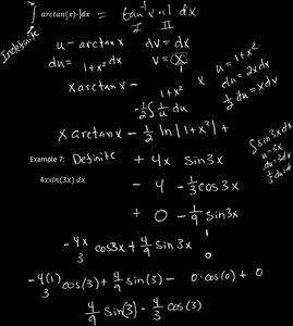
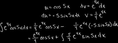
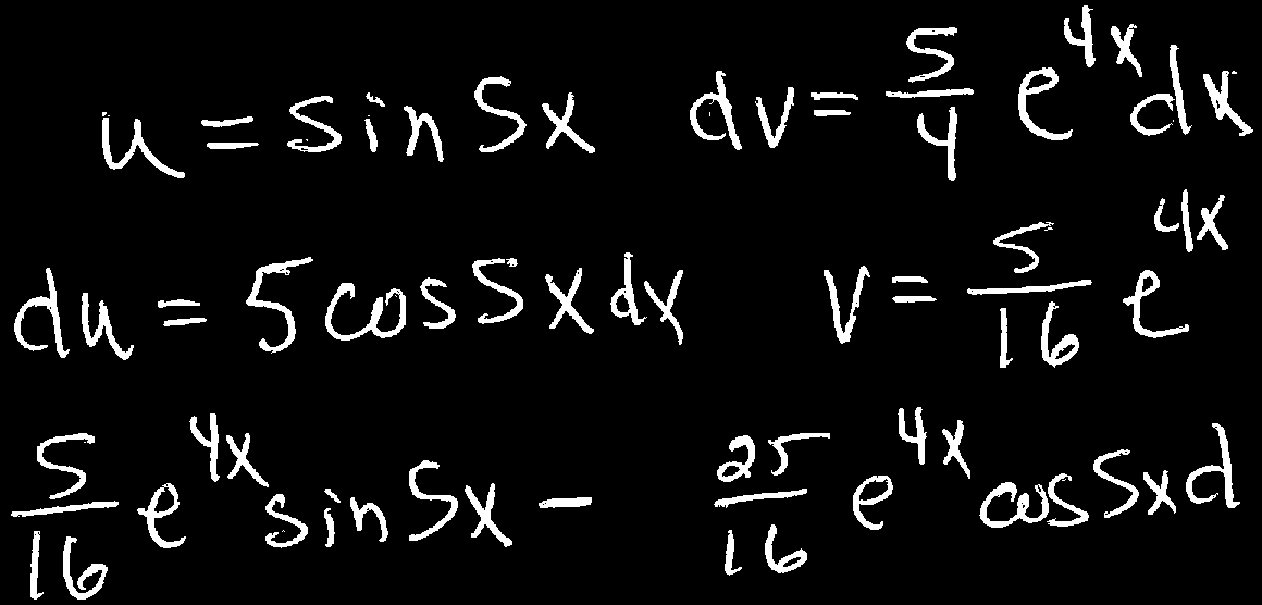
Examples of Integration by Parts
Several examples illustrate the application of integration by parts to different types of integrals.
Example 1:
Example 2:
Example 3:
Example 4:
Example 5:














Applications of Integration by Parts
Integration by parts is also used in applications such as finding volumes of solids of revolution and solving definite integrals.
Example: Find the volume of the solid formed by rotating the region bounded by , , and about the y-axis.
Shell Method: The shell method is used for such problems, and integration by parts may be required in the process.




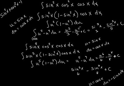
Integration of Trigonometric Functions
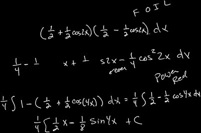
Integrals of Powers of Sine and Cosine
Integrals involving powers of sine and cosine often arise in applications such as radio waves, vibration analysis, and circuits. The integration technique depends on whether the powers are even or odd.
Case I: Both powers are even. Use power reduction identities:



Case II: Either power is odd. Use substitution and the Pythagorean identity:





Integrals of Powers of Secant and Tangent
Integrals involving powers of secant and tangent are solved using facts from precalculus and calculus:


Summary Table: Integration by Parts Formula
Formula | Mnemonic | Application |
|---|---|---|
Ultra-violet minus integral Voodoo | Integrating products of functions |
Additional info: The notes also briefly mention the shell method for volumes and tabular integration, which are advanced applications of integration by parts.