Back1.3 Inverse, Exponential, and Logarithmic Functions
Study Guide - Smart Notes
Tailored notes based on your materials, expanded with key definitions, examples, and context.
Inverse, Exponential, and Logarithmic Functions
Exponential Functions
Exponential functions are fundamental in calculus, defined as functions of the form , where is a positive real number not equal to 1. These functions model rapid growth or decay and are widely used in science and engineering.
Definition: An exponential function has the form .
Domain:
Range:
Properties: Exponential functions are one-to-one, continuous, and smooth.
Behavior:
If , is always increasing.
If , is always decreasing.
is a horizontal asymptote.


Examples and Table of Values
Exponential functions can be illustrated with tables and graphs to show their rapid growth or decay.

Inverse Functions
An inverse function reverses the effect of the original function. For a function , its inverse satisfies and . Not all functions have inverses; only one-to-one functions do.
One-to-one function: Each output comes from exactly one input.
Horizontal Line Test: A function is one-to-one if every horizontal line intersects its graph at most once.
Procedure for finding the inverse:
Replace with .
Interchange and .
Solve for .
Replace with .


Logarithmic Functions
Logarithmic functions are the inverses of exponential functions. The logarithm answers the question: "To what exponent must be raised to get ?" Logarithms are defined for positive real numbers and positive bases not equal to 1.
Definition: means .
Domain:
Range:
Properties: Logarithmic functions are one-to-one, continuous, and smooth.
Vertical asymptote:

Basic Logarithmic Properties
Inverse properties:


Properties and Rules of Logarithms
Logarithms have several important properties that allow simplification and expansion:
Product Rule:
Quotient Rule:
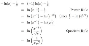
Power Rule:
Examples of Logarithmic Expansion and Simplification
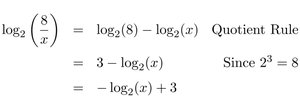
Example 1: Expand using the quotient rule.


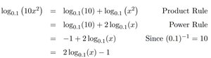
Example 2: Expand using product and power rules.

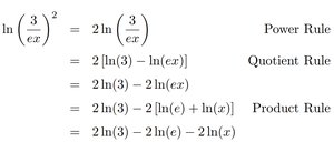
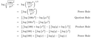
Example 3: Expand using power, quotient, and product rules.


Example 4: Expand using power, quotient, and product rules.


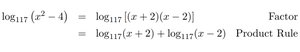
Example 5: Expand by factoring and using the product rule.

Example 6: Combine into a single logarithm.

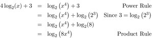
Example 7: Combine into a single logarithm.

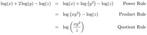
Example 8: Combine into a single logarithm.

Graphical Relationships: Exponential and Logarithmic Functions
Exponential and logarithmic functions are inverses. Their graphs are reflections across the line . The exponential function and its inverse have domains and ranges swapped.


Summary Table: Properties of Exponential and Logarithmic Functions
Function | Domain | Range | Asymptote | Monotonicity |
|---|---|---|---|---|
Increasing if , decreasing if | ||||
Increasing if , decreasing if |
Additional info:
Logarithms and exponentials are not defined for negative bases in the real number system.
Natural exponential function uses base .
Change of base property for logarithms: for any positive bases and .