BackMATH 165 Calculus Midterm Review – Step-by-Step Guidance
Study Guide - Smart Notes
Tailored notes based on your materials, expanded with key definitions, examples, and context.
Q1. Use the given graph of to determine the following:
(d) Is continuous?
(e) Is positive or negative?
(a)
(b)
(c)

Background
Topic: Limits and Continuity from Graphs
This question tests your ability to interpret a graph to determine function values, limits, and continuity at specific points.
Key Terms and Concepts:
Continuity: A function is continuous at if and both sides exist and are equal.
Limit: is the value approaches as gets close to (from both sides).
Function Value: is the actual value of the function at (look for filled circles on the graph).
Step-by-Step Guidance
To check continuity at a point, verify that the function is defined at that point, the limit exists, and the limit equals the function value. _
To find , locate on the graph and see if the point is above or below the -axis (positive or negative -value).
To find , look for the -value at (is there a filled or open circle?).
To find , observe the -value the graph approaches as gets close to $0$ from both sides.
To find , check the -value the graph approaches as gets close to $4$ from both sides (ignore open circles for the limit).
Try solving on your own before revealing the answer!
Q2. Use the given graph of to determine the following:
(a)
(b)
(c)
(d) Is continuous?
(e) Is positive or negative?

Background
Topic: Limits, Continuity, and Derivatives from Graphs
This question tests your ability to read function values, limits, and continuity from a graph, and to estimate the sign of the derivative at a point.
Key Terms and Concepts:
Function Value: is the -value at (look for filled circles).
Limit: is the -value the graph approaches as gets close to from both sides.
Continuity: is continuous at if is defined, the limit exists, and the limit equals $g(a)$.
Derivative Sign: is positive if the graph is increasing at , negative if decreasing.
Step-by-Step Guidance
For , find the -value at (look for a filled circle).
For , check the -value the graph approaches from both sides as approaches .
For , observe the -value the graph approaches as gets close to $5$ from both sides.
To check continuity, see if there are any jumps, holes, or breaks in the graph.
To determine if is positive or negative, look at the slope of the graph at (is it going up or down?).
Try solving on your own before revealing the answer!
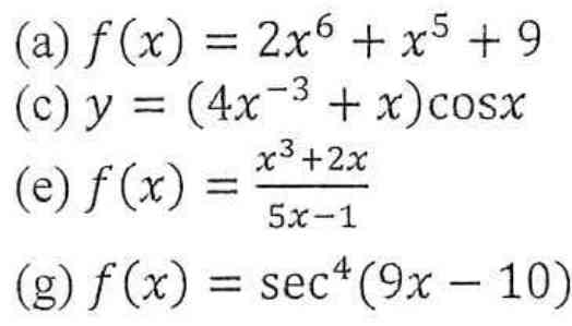
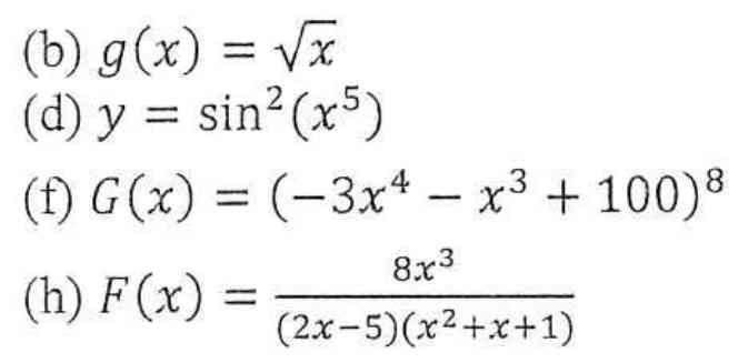
Q7. Find the derivative of each function:
(a)
(b)
(c)
(d)
(e)
(f)
(g)
(h)


Background
Topic: Differentiation Rules
This question tests your ability to apply basic differentiation rules, including the power rule, product rule, quotient rule, chain rule, and derivatives of trigonometric and exponential functions.
Key Terms and Formulas:
Power Rule:
Product Rule:
Quotient Rule:
Chain Rule:
Trigonometric Derivatives: , ,
Step-by-Step Guidance
For each function, identify which differentiation rule(s) apply (power, product, quotient, chain, etc.).
For polynomials, apply the power rule to each term separately.
For products (like ), use the product rule: differentiate each part and add.
For quotients, use the quotient rule: differentiate numerator and denominator as needed.
For composite functions (like or ), use the chain rule.
Try solving on your own before revealing the answer!
Q11. A cop is parked behind a billboard that is 45 feet from a highway. He has his radar gun aimed at a road sign that is 60 feet further down the highway (see figure). A car passes the road sign, and at that moment the gun indicates that the distance from the cop to the car is increasing at 60 mi/hr (which is 88 ft/sec). Find the speed of the car.

Background
Topic: Related Rates
This problem involves using related rates to find the speed of the car, given the rate at which the distance from the cop to the car is increasing. The scenario forms a right triangle, and you will use the Pythagorean theorem to relate the distances.
Key Terms and Formulas:
Pythagorean Theorem:
Related Rates: Differentiate both sides with respect to time to relate the rates of change.
Step-by-Step Guidance
Let be the distance from the car to the point on the highway nearest the cop, and be the fixed distance from the cop to the highway (45 ft).
Let be the distance from the cop to the car. By the Pythagorean theorem: .
Differentiate both sides with respect to time : .
Solve for (the speed of the car): .
Plug in the given values for , , and (convert units if necessary).