Back6.6 Moments and Centers of Mass
Study Guide - Smart Notes
Tailored notes based on your materials, expanded with key definitions, examples, and context.
6.6 Moments and Centers of Mass
Introduction to Moments and Centers of Mass
This section explores the concepts of moments and centers of mass, which are fundamental in both physics and calculus. These concepts allow us to determine the balance point of a system of masses or a continuous distribution of material.
Rigid Bodies and Connections
Rigid Body: A body whose shape cannot be changed.
Rigid Connection: A connection that does not deform or stretch, ensuring the relative positions of masses remain fixed.

Physical Interpretation
When several masses are connected rigidly, the system behaves as a single entity. The center of mass is the point where the system balances perfectly.
Moments and Balance
The concept of moment is crucial for understanding balance. The moment of a mass about a point is the product of the mass and its distance from the point. For a system to be balanced, the sum of the moments on one side must equal the sum on the other.

Moment Equation:
Center of Mass for Discrete Systems
The center of mass for a system of discrete masses is a weighted average of their positions. For two masses, the formula is:

For n masses connected rigidly in the xy-plane, the center of mass is given by:

Key Formula:
System moment about origin:
System mass:
Physical Meaning
The center of mass is the point where the system's mass could be concentrated without changing its rotational properties.
Rigid Connections and Weightless Connectors
Several masses can make a rigid connection if the connections between them have negligible mass compared to the masses themselves.
If an object is cut into pieces, each piece has a center of mass. We can treat each piece as a mass at its center of mass, making the connection rigid and weightless.

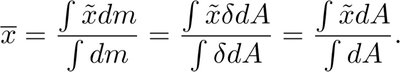
Centers of Mass for Continuous Distributions
For a thin, flat plate (lamina) with a continuous distribution of material, the center of mass is found using integration. In this section, we focus on cases where the material is distributed evenly in the y-direction.

Key Formulas:

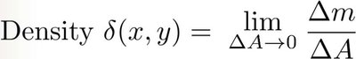
Density Function
The density at a point is defined as:


Strip Center
The center of a strip is given by . For a vertical strip, .

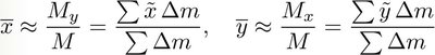
Approximate Formulas for Center of Mass

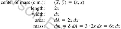
Example: Center of Mass of a Triangular Plate
Given: A triangular plate with constant density g/cm2.

Center of mass of strip:
Length:
Width:
Area:
Mass:

To find the x-coordinate of the center of mass:

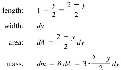
Example: Center of Mass Using Horizontal Strips

Length:
Width:
Area:
Mass:

To find the mass and x-coordinate of the center of mass:

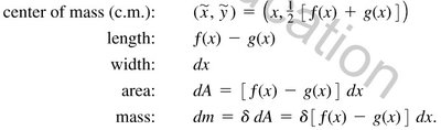
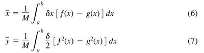
General Region Between Two Curves

Center of mass of strip:
Length:
Width:
Area:
Mass:


Special Case: Uniform Density
If the density is constant, it cancels out in the formula for , so the center of mass depends only on the shape of the region, not the material.

Therefore, only depends on the shape of the plate, and is independent of the material filled in the region.
Summary Table: Center of Mass Formulas
System Type | Center of Mass Formula |
|---|---|
Discrete Masses | |
Continuous Plate (Uniform Density) | |
Region Between Curves |
Additional info: The notes above include expanded academic context and explanations to ensure completeness and clarity for calculus students preparing for exams.