Skip to main content
Back

Product and Quotient Rules in Differentiation

Study Guide - Smart Notes

Tailored notes based on your materials, expanded with key definitions, examples, and context.

Section 3.4: The Product and Quotient Rules

Introduction to Product and Quotient Rules

The Product Rule and Quotient Rule are essential techniques in calculus for finding derivatives of functions that are products or quotients of two differentiable functions. These rules expand the basic differentiation methods and are foundational for more advanced calculus topics.

Product Rule

The Product Rule is used when differentiating the product of two functions. If f(x) and g(x) are both differentiable at x, then:

  • Theorem:

  • Key Points:

    • Apply the rule when two functions are multiplied.

    • Take the derivative of the first function times the second, plus the first function times the derivative of the second.

  • Example:

Product Rule Theorem Product Rule Example with Derivatives

Quotient Rule

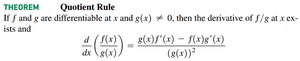
The Quotient Rule is used for differentiating the quotient of two functions. If f(x) and g(x) are differentiable at x and g(x) \neq 0, then:

  • Theorem:

  • Key Points:

    • Apply the rule when one function is divided by another.

    • Take the derivative of the numerator times the denominator, minus the numerator times the derivative of the denominator, all over the denominator squared.

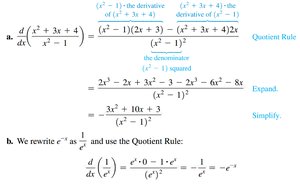
  • Example:

Quotient Rule Theorem Quotient Rule Derivation

Combining Derivative Rules

Often, functions require the use of both the Product and Quotient Rules. For example, when the numerator of a quotient is itself a product, both rules must be applied sequentially.

  • Example: Find the derivative of Solution:

Combining Derivative Rules Example

Finding Tangent Lines Using the Quotient Rule

The tangent line to a curve at a given point can be found by computing the derivative at that point and using the point-slope form of a line.

  • Example: Find the equation of the tangent line to at the point (3, 2). Solution: Compute using the Quotient Rule: At : The tangent line: or

Finding Tangent Lines Example Graph of Tangent Line and Curve

Extending the Power Rule to Negative Integers

The Power Rule for derivatives can be extended to negative integer exponents using the Quotient Rule. This allows differentiation of functions with negative powers.

  • Theorem: For any real number n,

  • Key Points:

    • For negative exponents, rewrite the function as a quotient and apply the Quotient Rule.

    • Example:

Power Rule General Form Extending Power Rule to Negative Integers

Examples and Applications

Applying the Product and Quotient Rules to various functions demonstrates their versatility and necessity in calculus.

  • Example (Product Rule):

  • Example (Quotient Rule):

  • Example (Combining Rules): as shown above.

Quotient Rule Example with Steps Product Rule Example with Steps

Summary Table: Product vs. Quotient Rule

The following table summarizes the main differences and formulas for the Product and Quotient Rules:

Rule

Formula

When to Use

Product Rule

When differentiating a product of two functions

Quotient Rule

When differentiating a quotient of two functions

Practice Problems

  • Differentiate using the Product Rule.

  • Differentiate using the Product Rule.

  • Differentiate using the Quotient Rule.

  • Find the tangent line to at .

Conclusion

The Product and Quotient Rules are fundamental tools for differentiation in calculus. Mastery of these rules enables students to tackle a wide variety of functions and prepares them for more advanced applications in mathematics and science.

Pearson Logo

Study Prep