BackCellular Energetics: Chemiosmosis, Glycolysis, Mitochondria, Electron Transport, and Photosynthesis
Study Guide - Smart Notes
Tailored notes based on your materials, expanded with key definitions, examples, and context.
Cellular Energetics
Overview of Cellular Energetics
Cellular energetics encompasses the processes by which cells convert energy from various sources into usable forms, primarily ATP. This chapter focuses on the mechanisms of energy conversion in both mitochondria and chloroplasts, including glycolysis, the citric acid cycle, electron transport, chemiosmosis, and photosynthesis.

Chemiosmosis, Electron Transport, and ATP Synthesis
Chemiosmosis is the process by which cells convert chemical bond energy, chemical gradients, and electrical gradients across membranes into ATP. The proton-motive force is the energy stored in the proton electrochemical gradient, which is harnessed for ATP synthesis.
Chemiosmosis: Interconversion of energy forms across membranes.
Proton-motive force: Generated by electron transport chain, used by ATP synthase.
ATP synthesis: Occurs as protons flow through ATP synthase, rotating its subunits.

Glycolysis: First Step of Harvesting Energy from Glucose
Glycolysis is the initial stage of glucose metabolism, occurring in the cytosol. It converts glucose into two molecules of pyruvate, generating ATP and NADH. Under anaerobic conditions, pyruvate is further metabolized to lactic acid or ethanol, regenerating NAD+ for continued glycolysis.
Aerobic oxidation: Four-stage process converting glucose/fatty acids to ATP.
Glycolysis: Produces 2 ATP and 2 NADH per glucose.
Anaerobic metabolism: Pyruvate converted to lactic acid or ethanol to regenerate NAD+.

The Structure of Mitochondria
Mitochondria are double-membraned organelles central to aerobic energy production. The endosymbiont hypothesis suggests mitochondria evolved from bacteria. Mitochondria contain distinct compartments and are sites of ATP generation via aerobic oxidation.
Outer and inner membranes: Create intermembrane space and matrix.
Compartmentalization: Enables efficient energy conversion.
Endosymbiont hypothesis: Mitochondria and chloroplasts originated from symbiotic bacteria.
k 
Dynamics and Functions of Mitochondria
Mitochondria are dynamic, undergoing fusion and fission regulated by cellular state. Defective mitochondria are removed by mitophagy. Membrane contact sites (MCSs) facilitate communication and calcium transport between organelles.
Fusion and fission: Maintain mitochondrial function and shape.
Mitophagy: Selective destruction of damaged mitochondria.
MCSs: Tethering regions for organelle interaction, crucial for calcium and energy metabolism.

Multiple Functions of Mitochondria
Mitochondria are involved in biosynthesis, metabolism, ion homeostasis, cell death, immunity, and responses to stress. They play roles in fatty acid oxidation, steroid hormone synthesis, and thermogenesis.
Biosynthesis/Processing | Other Functions |
|---|---|
Fatty acids, steroid hormones, pyrimidines, iron-sulfur clusters, heme, phospholipids, ubiquinone, amino acids | Oxidative phosphorylation, ROS homeostasis, ion homeostasis, ammonia detoxification, thermogenesis, innate immunity, apoptosis, mitochondrial dynamics, calcium transport, lipid import, stress responses, neurodegenerative pathology |
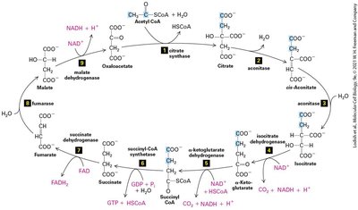
The Citric Acid Cycle and Fatty Acid Oxidation
The citric acid cycle (Krebs cycle) oxidizes acetyl CoA to CO2, generating NADH and FADH2, which carry electrons to the electron transport chain. Fatty acid oxidation occurs in mitochondria (short/long chains) and peroxisomes (very long chains).
Stage II: Pyruvate oxidized to CO2, NADH, acetyl CoA.
Energy storage: NADH and FADH2 are electron carriers.
Fatty acid oxidation: Produces ATP in mitochondria, heat in peroxisomes.

Electron-Transport Chain and Generation of Proton-Motive Force
Electrons from NADH and FADH2 flow through the electron transport chain, driving proton transport across the inner mitochondrial membrane and generating a proton-motive force. Reduction potentials favor unidirectional electron flow to O2.
Electron transport chain: Series of protein complexes (I-IV) and carriers.
Proton-motive force: Voltage and pH gradients across membrane.
Reduction potential: Drives electron flow from NADH/FADH2 to O2.

Reaction | CO2 Produced | NADH | FADH2 | ATP/GTP |
|---|---|---|---|---|
Glucose to 2 pyruvate | 0 | 2 | 0 | 2 |
2 pyruvate to 2 acetyl CoA | 2 | 2 | 0 | 0 |
2 acetyl CoA to 4 CO2 | 4 | 6 | 2 | 2 |
Total | 6 | 10 | 2 | 4 |
Harnessing the Proton-Motive Force to Synthesize ATP
The chemiosmotic hypothesis states that the proton-motive force across the inner mitochondrial membrane is the immediate energy source for ATP synthesis. ATP synthase (F0F1 complex) catalyzes ATP formation as protons flow through and rotate its subunits.
ATP synthase: Universal mechanism in bacteria, mitochondria, chloroplasts.
Proton flow: Drives rotation and ATP synthesis.
Chloroplasts and Photosynthesis
Photosynthesis in plants produces O2 and carbohydrates. Light-capturing and ATP-generating reactions occur in thylakoid membranes. Four stages include light absorption, electron transport, ATP synthesis, and carbon fixation.
End products: O2, starch, sucrose.
Stages: Light absorption, electron transport, ATP synthesis, carbon fixation.
Use of Light Energy to Generate Molecular Oxygen, NADPH, and ATP
Photosystems PSI and PSII have distinct functions: PSII generates O2 from H2O, PSI reduces NADP+ to NADPH. Light energy is transferred to chlorophyll a in reaction centers, generating a proton-motive force for ATP synthesis.
PSII: Converts H2O to O2.
PSI: Reduces NADP+ to NADPH.
Light-harvesting complexes: Transfer energy to reaction centers.
ATP and NADPH Drive Carbon Fixation in the Calvin Cycle
The Calvin cycle fixes CO2 into organic molecules in the chloroplast stroma. C3 plants lose CO2 during photorespiration, while C4 plants minimize this loss by shuttling four-carbon molecules to bundle sheath cells.
Calvin cycle: Series of reactions fixing CO2.
Photorespiration: Loss of CO2 in C3 plants.
C4 plants: Efficient CO2 fixation, reduced photorespiration.
Key Equations
ATP synthesis:
Glycolysis overall:
Citric acid cycle:
Photosynthesis (simplified):
Example
During aerobic respiration, a single glucose molecule yields up to 36 ATP molecules through glycolysis, citric acid cycle, and oxidative phosphorylation.
Additional info:
Some details, such as the full regulation of glycolysis and the specifics of mitochondrial dynamics, were expanded for clarity and completeness.