Skip to main content
Back

Graphing Techniques: Stretching, Shrinking, Reflecting, Symmetry, and Translations

Study Guide - Smart Notes

Tailored notes based on your materials, expanded with key definitions, examples, and context.

Chapter 2: Graphs and Functions

Section 2.7: Graphing Techniques

This section explores the fundamental techniques for transforming the graphs of functions, including stretching, shrinking, reflecting, symmetry, and translations. Mastery of these concepts is essential for understanding how algebraic changes affect the graphical representation of functions.

Stretching and Shrinking

Vertical Stretching and Shrinking

Vertical transformations change the y-values of a function. If is a function and , then stretches or shrinks the graph vertically:

  • Vertical Stretch: If , the graph is stretched away from the x-axis.

  • Vertical Shrink: If , the graph is compressed toward the x-axis.

For every point on the graph of , the corresponding point on is .

x

-2

2

4

-1

1

2

0

0

0

1

1

2

2

2

4

Table comparing f(x)=|x| and g(x)=2|x|Graph of f(x)=|x| and g(x)=2|x| showing vertical stretch

x

-2

2

1

-1

1

\frac{1}{2}

0

0

0

1

1

\frac{1}{2}

2

2

1

Table comparing f(x)=|x| and h(x)=1/2|x|Graph of f(x)=|x| and h(x)=1/2|x| showing vertical shrink

Horizontal Stretching and Shrinking

Horizontal transformations affect the x-values. For :

  • Horizontal Stretch: If , the graph is stretched away from the y-axis.

  • Horizontal Shrink: If , the graph is compressed toward the y-axis.

For every point on the graph of , the corresponding point on is .

Reflecting

Reflection Across the x-axis and y-axis

Reflection creates a mirror image of a graph across a specified axis:

  • Across the x-axis: reflects over the x-axis. Each point becomes .

  • Across the y-axis: reflects over the y-axis. Each point becomes .

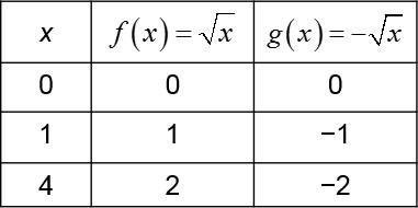
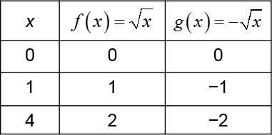
x

0

0

0

1

1

-1

4

2

-2

Table comparing f(x)=sqrt(x) and g(x)=-sqrt(x)Graph of f(x)=sqrt(x) and g(x)=-sqrt(x) showing reflection across x-axis

x

-4

undefined

2

-1

undefined

1

0

0

0

1

1

undefined

4

2

undefined

Table comparing f(x)=sqrt(x) and h(x)=sqrt(-x)Graph of f(x)=sqrt(x) and h(x)=sqrt(-x) showing reflection across y-axis

Symmetry

Symmetry with Respect to an Axis

Symmetry helps identify the geometric properties of graphs:

  • y-axis symmetry: Replace with . If the equation is unchanged, the graph is symmetric about the y-axis.

  • x-axis symmetry: Replace with . If the equation is unchanged, the graph is symmetric about the x-axis.

Graph showing y-axis symmetryGraph showing x-axis symmetry

Symmetry with Respect to the Origin

A graph is symmetric with respect to the origin if replacing with and with yields an equivalent equation.

Graph showing x-axis and y-axis symmetry (circle)Graph with no x-axis or y-axis symmetry

x-axis

y-axis

Origin

Equation is unchanged if:

y is replaced with -y

x is replaced with -x

x is replaced with -x and y is replaced with -y

Example:

x-axis symmetry example

y-axis symmetry example

origin symmetry example

  • A graph symmetric with respect to both axes is also symmetric with respect to the origin.

  • A graph symmetric with respect to the origin need not be symmetric with respect to either axis.

  • Possessing any two types of symmetry implies the third.

  • A graph symmetric with respect to the x-axis does not represent a function.

Even and Odd Functions

Definitions

  • Even Function: for all in the domain. The graph is symmetric with respect to the y-axis.

  • Odd Function: for all in the domain. The graph is symmetric with respect to the origin.

Example: is even, is odd, is neither.

Translations

Vertical Translations

Given , the graph of is the graph of shifted vertically:

  • Up: If , shift up by units.

  • Down: If , shift down by units.

Horizontal Translations

Given , the graph of is the graph of shifted horizontally:

  • Left: If , shift left by units.

  • Right: If , shift right by units.

Caution: For , the graph shifts right by units; for , it shifts left by $h$ units.

Summary of Graphing Techniques

  • The graph of is translated units up.

  • The graph of is translated units down.

  • The graph of is translated units to the left.

  • The graph of is translated units to the right.

  • The graph of is a vertical stretch if , vertical shrink if .

  • The graph of is a horizontal stretch if , horizontal shrink if .

  • The graph of is reflected across the x-axis.

  • The graph of is reflected across the y-axis.

Pearson Logo

Study Prep