BackPolynomial and Rational Functions: College Algebra Study Guide
Study Guide - Smart Notes
Tailored notes based on your materials, expanded with key definitions, examples, and context.
Polynomial Functions
Definition and Classification
Polynomial functions are fundamental objects in algebra, defined as expressions involving powers of a variable with real coefficients. They are classified by degree and number of terms.
Definition: A polynomial function is given by , where are real numbers and exponents are whole numbers.
Degree: The highest exponent of the variable in the polynomial.
Leading Term: The term with the highest degree ().
Leading Coefficient: The coefficient of the leading term ().
Classification:
Constant: Degree 0 (e.g., 4)
Linear: Degree 1 (e.g., )
Quadratic: Degree 2 (e.g., )
Cubic: Degree 3 (e.g., )
Quartic: Degree 4 (e.g., )
Quintic: Degree 5 (e.g., )

Characteristics of Polynomial Graphs
The graph of a polynomial function is continuous and smooth, with no holes or sharp corners. The domain is all real numbers ().
Intercepts: Points where the graph crosses the axes.
Relative Extrema: Local maxima and minima.
Turning Points: Places where the graph changes direction.
End Behavior of Polynomial Functions
Leading-Term Test
The end behavior of a polynomial function is determined by its leading term. As approaches or , the sign and degree of the leading term dictate the direction of the graph.
Even Degree: Both ends of the graph go in the same direction.
Odd Degree: Ends of the graph go in opposite directions.
Positive Leading Coefficient: Right end goes up.
Negative Leading Coefficient: Right end goes down.

Zeros, Solutions, and Intercepts
Finding Zeros and Factors
The zeros of a polynomial function are the values of where . These correspond to solutions of the equation, factors of the polynomial, and x-intercepts of the graph.
Equivalent Statements:
is a real zero of
is a solution of
is a factor of
is an x-intercept

Multiplicity of Zeros
If a factor repeats, its power indicates the multiplicity. The graph's behavior at the zero depends on whether the multiplicity is even or odd.
Odd Multiplicity: Graph crosses the x-axis.
Even Multiplicity: Graph touches and bounces off the x-axis.

Polynomial Models and Applications
Using Polynomial Functions in Modeling
Polynomial functions are used to model real-world phenomena in science, engineering, and business. For example, they can describe the concentration of medication in the bloodstream over time.
Example: models ibuprofen concentration.
Evaluate at various values to analyze potency and effectiveness.
Factoring and Finding Zeros of Polynomials
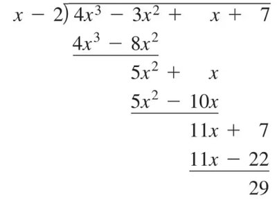
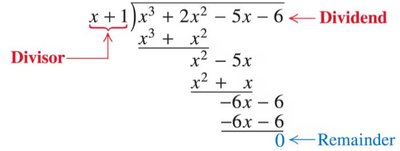
Polynomial Division
Polynomials can be divided using long division or synthetic division. If the remainder is zero, the divisor is a factor.
Long Division: Divide, multiply, subtract, bring down, repeat.
Synthetic Division: Efficient for divisors of the form .

The Factor Theorem and Fundamental Theorem of Algebra
Factor Theorem: If , then is a factor of .
Fundamental Theorem of Algebra: Every polynomial of degree has $n$ zeros in the complex numbers.
Rational Functions
Definition and Domain
A rational function is the quotient of two polynomials, , where . The domain excludes values where .
Asymptotes and Intercepts
Vertical Asymptotes: Occur at zeros of the denominator not canceled by the numerator.
Horizontal Asymptotes:
If degree of numerator < degree of denominator:
If degrees are equal: (leading coefficients)
If degree of numerator > degree of denominator: No horizontal asymptote
Oblique (Slant) Asymptotes: Occur when degree of numerator is one more than denominator.
X-Intercepts: Set numerator to zero.
Y-Intercepts: Substitute .

Graphing Rational Functions
Find real zeros of the denominator (vertical asymptotes).
Find horizontal or oblique asymptotes.
Find zeros of the numerator (x-intercepts).
Find (y-intercept).
Plot additional points for shape.

Holes in Rational Functions
A hole occurs where a common factor cancels in the numerator and denominator. The graph is undefined at this point.
Factor numerator and denominator.
Set canceled factor to zero for x-coordinate.
Substitute into reduced function for y-coordinate.

Polynomial and Rational Inequalities
Solving Polynomial Inequalities
Rewrite in standard form.
Find critical values by solving .
Test intervals between critical values.
Write answer in interval notation.

Solving Rational Inequalities
Rewrite in standard form.
Find critical values by setting numerator and denominator to zero.
Test intervals between critical values.
Never include vertical asymptote values in the final answer.
Write answer in interval notation.
Summary Table: End Behavior of Polynomials
Degree (n) | Leading Coefficient | Leading Coefficient |
|---|---|---|
Even | Both ends up | Both ends down |
Odd | Left down, right up | Left up, right down |
Key Formulas
Polynomial Function:
Rational Function:
Division Algorithm:
Additional info:
All content is directly relevant to college algebra, specifically Chapter 4: Polynomial and Rational Functions.
Images included are only those that visually clarify polynomial and rational function concepts, end behavior, division, and graphing.