BackAlkanes and Cycloalkanes: Structure, Nomenclature, Isomerism, Conformations, and Properties
Study Guide - Smart Notes
Tailored notes based on your materials, expanded with key definitions, examples, and context.
Alkanes and Cycloalkanes
Introduction to Hydrocarbons
Hydrocarbons are organic molecules composed solely of hydrogen and carbon atoms. They are classified based on the types of bonds between carbon atoms and the presence or absence of rings.
Saturated hydrocarbons: Only contain carbon-carbon single bonds (alkanes and cycloalkanes).
Unsaturated hydrocarbons: Contain one or more carbon-carbon double bonds (alkenes), triple bonds (alkynes), or aromatic rings (arenes).

Structure and Representation of Alkanes
Alkanes are saturated hydrocarbons with the general formula , where x is the number of carbon atoms. Each carbon atom forms four single bonds arranged tetrahedrally with bond angles of 109.5°.
Line-angle formulas are a simplified way to represent organic molecules, where each vertex and line ending represents a carbon atom.
Ball-and-stick models and structural formulas provide three-dimensional and two-dimensional representations, respectively.

Nomenclature of Alkanes (IUPAC System)
The IUPAC system provides a systematic method for naming alkanes based on the number of carbon atoms and the presence of substituents.
The root name is determined by the longest continuous chain of carbon atoms.
Prefixes indicate the number of carbons (meth-, eth-, prop-, etc.).
The suffix -ane denotes an alkane.
Substituents are named as alkyl groups (methyl, ethyl, etc.) and are numbered to give the lowest possible numbers to the substituents.
Multiple identical substituents use prefixes (di-, tri-, tetra-, etc.).
Substituents are listed alphabetically (ignoring di-, tri-, etc.).



Alkyl Groups and Common Names
An alkyl group is derived from an alkane by removing one hydrogen atom. Common names are often used for simple branched alkanes, especially those with iso-, sec-, tert-, or neo- prefixes.

Classification of Carbon and Hydrogen Atoms
Carbons and hydrogens in alkanes are classified based on the number of other carbons to which they are attached:
Primary (1°): Attached to one other carbon
Secondary (2°): Attached to two other carbons
Tertiary (3°): Attached to three other carbons
Quaternary (4°): Attached to four other carbons

Constitutional Isomerism in Alkanes
Constitutional isomers are compounds with the same molecular formula but different connectivity of atoms. This leads to differences in physical and chemical properties.


Cycloalkanes: Structure and Nomenclature
Cycloalkanes are saturated hydrocarbons with carbon atoms arranged in rings. The general formula is .
Named by adding the prefix cyclo- to the alkane name corresponding to the number of carbons in the ring.
Substituents are numbered to give the lowest set of numbers, and listed alphabetically.

Bicycloalkanes
Bicycloalkanes contain two rings sharing two or more carbon atoms (bridgehead carbons). The formula is .

Conformations of Alkanes and Cycloalkanes
Conformations are different spatial arrangements of atoms resulting from rotation about single bonds. The most important conformations are staggered and eclipsed, which can be visualized using Newman projections.
Staggered conformation: Groups are as far apart as possible, minimizing repulsion (lowest energy).
Eclipsed conformation: Groups are as close as possible, maximizing repulsion (highest energy).
Torsional strain: Arises from eclipsed interactions.
Steric strain: Results from atoms being forced closer than their van der Waals radii allow.



Cycloalkane Conformations
Cycloalkanes adopt non-planar conformations to minimize angle and torsional strain:
Cyclopropane: Planar, high angle and torsional strain.
Cyclobutane: Puckered to reduce torsional strain, but increases angle strain.
Cyclopentane: Envelope conformation relieves torsional strain.
Cyclohexane: Chair conformation is most stable, with all bonds staggered and angles near 109.5°.



Axial and Equatorial Positions in Cyclohexane
In the chair conformation, substituents can occupy axial (parallel to ring axis) or equatorial (around the ring equator) positions. Larger groups prefer the equatorial position to minimize steric strain (diaxial interactions).

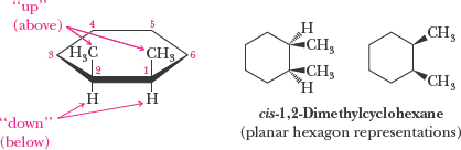
Cis-Trans Isomerism in Cycloalkanes and Bicycloalkanes
Stereoisomers have the same connectivity but differ in the spatial arrangement of atoms. Cis-trans isomerism arises when substituents are on the same (cis) or opposite (trans) sides of a ring or double bond.
Cis isomer: Substituents on the same side.
Trans isomer: Substituents on opposite sides.
These isomers cannot interconvert without breaking and reforming bonds.







Physical Properties of Alkanes and Cycloalkanes
Alkanes and cycloalkanes are nonpolar molecules with weak intermolecular forces (dispersion forces). Their physical properties depend on molecular weight and branching.
Boiling points increase with molecular weight and decrease with branching.
Melting points increase with molecular weight, but less regularly than boiling points.
Alkanes with 1-4 carbons are gases at room temperature; 5-17 are liquids; higher are solids.

Heats of Combustion and Stability
Combustion of alkanes produces carbon dioxide and water, releasing energy (heat of combustion). The heat of combustion is a measure of the relative stability of isomers: more branched alkanes are more stable and have lower heats of combustion.
General combustion reaction:
Heats of combustion can be used to compare the stability of constitutional isomers.
Hydrocarbon | Line-angle Formula | [kJ/mol (kcal/mol)] |
|---|---|---|
Octane | \ | -5470.6 (~-1307.5) |
2-Methylheptane | \ | -5465.6 (~-1306.3) |
2,2-Dimethylhexane | \ | -5458.4 (~-1304.6) |
2,2,3,3-Tetramethylbutane | \ | -5451.8 (~-1303.0) |
Additional info: The more branched the alkane, the lower the heat of combustion, indicating greater stability.