BackAlkanes and Cycloalkanes: Structure, Nomenclature, Isomerism, Conformations, and Properties
Study Guide - Smart Notes
Tailored notes based on your materials, expanded with key definitions, examples, and context.
Alkanes and Cycloalkanes
Introduction to Hydrocarbons
Hydrocarbons are organic molecules composed exclusively of hydrogen and carbon atoms. They are classified based on the types of bonds between carbon atoms and their degree of saturation.
Saturated hydrocarbons: Only contain carbon-carbon single bonds (alkanes and cycloalkanes).
Unsaturated hydrocarbons: Contain one or more carbon-carbon double bonds (alkenes), triple bonds (alkynes), or aromatic rings (arenes).

Structure and Nomenclature of Alkanes
General Structure and Formulas
Alkanes are saturated hydrocarbons with the general formula , where x is the number of carbon atoms. Each carbon atom forms four single bonds arranged tetrahedrally with bond angles of 109.5°.
Line-angle formulas are commonly used to represent alkane structures, where each vertex and line ending represents a carbon atom.

Nomenclature of Alkanes (IUPAC System)
The IUPAC system provides a systematic method for naming alkanes:
Identify the longest continuous carbon chain (parent chain).
Number the chain from the end nearest a substituent.
Name and number each substituent (alkyl group) attached to the parent chain.
Use prefixes (di-, tri-, tetra-, etc.) for multiple identical substituents.
List substituents alphabetically (ignoring multiplicative prefixes).
If two chains of equal length are possible, choose the one with more substituents.



Alkyl Groups
An alkyl group is derived from an alkane by removing one hydrogen atom. Alkyl groups are named by replacing the -ane ending with -yl (e.g., methyl, ethyl).

Classification of Carbon and Hydrogen Atoms
Carbons and hydrogens in alkanes are classified by the number of other carbons to which they are attached:
Primary (1°): Attached to one other carbon
Secondary (2°): Attached to two other carbons
Tertiary (3°): Attached to three other carbons
Quaternary (4°): Attached to four other carbons

Isomerism in Alkanes
Constitutional Isomerism
Constitutional isomers are compounds with the same molecular formula but different connectivity of their atoms. They may differ in the arrangement of the carbon skeleton or the position of substituents.


Cycloalkanes and Bicycloalkanes
Structure and Nomenclature of Cycloalkanes
Cycloalkanes are saturated hydrocarbons with carbon atoms arranged in rings. The general formula is . The most common rings are five- and six-membered.
Name cycloalkanes by adding the prefix "cyclo-" to the alkane name.
Number substituents to give the lowest possible set of numbers, listing alphabetically.

Bicycloalkanes
Bicycloalkanes contain two rings sharing two or more carbon atoms (bridgehead carbons). The general formula is .

Conformations of Alkanes and Cycloalkanes
Conformational Analysis of Alkanes
Alkanes can adopt different spatial arrangements (conformations) due to rotation about single bonds. The most important conformations are:
Staggered conformation: Groups on adjacent carbons are as far apart as possible (lowest energy).
Eclipsed conformation: Groups on adjacent carbons are as close as possible (highest energy, torsional strain).



Conformational Analysis of Cycloalkanes
Cycloalkanes adopt non-planar conformations to minimize angle and torsional strain:
Cyclopropane: Planar, high angle and torsional strain.
Cyclobutane: Puckered to reduce torsional strain, but still strained.
Cyclopentane: Envelope conformation reduces torsional strain.
Cyclohexane: Chair conformation is most stable, with all bonds staggered and angles near 109.5°.



Axial and Equatorial Positions in Cyclohexane
In the chair conformation, hydrogens (or substituents) occupy either axial (parallel to the ring axis) or equatorial (around the ring equator) positions. Substituents prefer the equatorial position to minimize steric (diaxial) interactions.

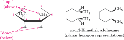
Stereoisomerism: Cis-Trans Isomerism in Cycloalkanes
Cis-Trans Isomerism
Cycloalkanes with two or more substituents can exhibit cis-trans (geometric) isomerism:
Cis isomer: Substituents are on the same side of the ring.
Trans isomer: Substituents are on opposite sides of the ring.







Physical Properties of Alkanes and Cycloalkanes
Polarity and Intermolecular Forces
Alkanes and cycloalkanes are nonpolar due to their C-H bonds. The only significant intermolecular forces are weak dispersion (London) forces, which increase with molecular size and surface area.
Boiling points increase with molecular weight and decrease with branching.
Melting points increase less regularly than boiling points.
Alkanes with 1-4 carbons are gases at room temperature; 5-17 are liquids; higher are solids.

Heats of Combustion and Stability
The combustion of alkanes releases energy as heat. The heat of combustion is a measure of the energy content and relative stability of isomers. More branched alkanes are generally more stable and have lower heats of combustion.
Example combustion reaction for methane:
Heats of combustion can be used to compare the stability of constitutional isomers.
Summary Table: Common Alkane Prefixes
Prefix | Number of Carbon Atoms | Prefix | Number of Carbon Atoms |
|---|---|---|---|
meth- | 1 | undec- | 11 |
eth- | 2 | dodec- | 12 |
prop- | 3 | tridec- | 13 |
but- | 4 | tetradec- | 14 |
pent- | 5 | pentadec- | 15 |
hex- | 6 | hexadec- | 16 |
hept- | 7 | heptadec- | 17 |
oct- | 8 | octadec- | 18 |
non- | 9 | nonadec- | 19 |
dec- | 10 | eicos- | 20 |