BackAlkanes and Cycloalkanes: Structure, Nomenclature, Properties, and Reactions
Study Guide - Smart Notes
Tailored notes based on your materials, expanded with key definitions, examples, and context.
Alkanes and Cycloalkanes
Hydrocarbons: Classification and Structure
Hydrocarbons are organic molecules composed solely of carbon and hydrogen. They are classified as saturated or unsaturated based on the types of carbon-carbon bonds present. Saturated hydrocarbons (alkanes) contain only single bonds, while unsaturated hydrocarbons (alkenes, alkynes, and arenes) contain double, triple, or aromatic bonds.
Saturated Hydrocarbons: Only carbon-carbon single bonds (alkanes).
Unsaturated Hydrocarbons: One or more carbon-carbon double bonds (alkenes), triple bonds (alkynes), or benzene-like rings (arenes).
General Formula for Alkanes:

Example: Ethane (alkane), Ethene (alkene), Acetylene (alkyne), Benzene (arene).
Structure and Representation of Alkanes
Alkanes are characterized by tetrahedral geometry around each carbon atom, with bond angles of 109.5°. Structural formulas can be represented in several ways, including ball-and-stick models, line-angle formulas, and condensed structural formulas.
Line-Angle Formula: Vertices and line endings represent carbon atoms.
Ball-and-Stick Model: Visualizes three-dimensional structure.

Constitutional Isomerism in Alkanes
Constitutional isomers are compounds with the same molecular formula but different connectivity of their atoms. This leads to differences in physical and chemical properties.
Example: C4H10 (butane and 2-methylpropane).

Nomenclature of Alkanes: IUPAC System
The IUPAC system provides rules for naming alkanes, including unbranched and branched chains. The name consists of a prefix (number of carbons), infix (nature of bonds), and suffix (class of compound).
Longest Chain: Identify the longest continuous carbon chain as the parent.
Substituents: Name and number groups attached to the parent chain.
Alkyl Groups: Derived from alkanes by removing a hydrogen atom; named by replacing -ane with -yl.
Numbering: Number the chain to give substituents the lowest possible numbers.
Alphabetical Order: List substituents alphabetically; prefixes like di-, tri- are not considered in alphabetizing.


Table: Prefixes for Number of Carbon Atoms
Prefix | Number of Carbon Atoms | Prefix | Number of Carbon Atoms |
|---|---|---|---|
meth- | 1 | undec- | 11 |
eth- | 2 | dodec- | 12 |
prop- | 3 | tridec- | 13 |
but- | 4 | tetradec- | 14 |
pent- | 5 | pentadec- | 15 |
hex- | 6 | hexadec- | 16 |
hept- | 7 | heptadec- | 17 |
oct- | 8 | octadec- | 18 |
non- | 9 | nonadec- | 19 |
dec- | 10 | eicos- | 20 |

Classification of Carbon and Hydrogen Atoms
Carbons and hydrogens in alkanes are classified based on their connectivity:
Primary (1°): Carbon attached to one other carbon.
Secondary (2°): Carbon attached to two other carbons.
Tertiary (3°): Carbon attached to three other carbons.
Quaternary (4°): Carbon attached to four other carbons.

Cycloalkanes and Bicycloalkanes
Cycloalkanes: Structure and Nomenclature
Cycloalkanes are saturated cyclic hydrocarbons. The general formula is , and the most common rings are five- and six-membered.
Naming: Add 'cyclo-' prefix to the root name; number substituents to give lowest set of numbers.

Bicycloalkanes
Bicycloalkanes contain two rings sharing two carbon atoms (bridgehead carbons). The formula is .
Examples: Hydrindane (9 carbons), Decalin (10 carbons), Norbornane (7 carbons).

Conformations and Strain in Alkanes and Cycloalkanes
Conformations of Alkanes
Alkanes can adopt different three-dimensional arrangements (conformations) due to rotation about single bonds. The most stable conformation is staggered, while eclipsed conformations are higher in energy due to torsional strain.
Newman Projection: Visualizes the relative orientation of groups attached to adjacent carbons.
Dihedral Angle (θ): Angle between two intersecting planes; affects stability.
Torsional Strain: Arises from eclipsed interactions.
Steric Strain: Results from atoms being forced closer than their atomic radii allow.



Conformations of Cycloalkanes
Cycloalkanes exhibit ring strain due to non-optimal bond angles and torsional strain from eclipsed interactions. Cyclohexane adopts several conformations, with the chair conformation being the most stable.
Chair Conformation: All bond angles are close to 109.5°, and bonds are staggered.
Boat and Twist-Boat Conformations: Less stable due to increased strain.
Axial and Equatorial Bonds: Axial bonds are parallel to the ring axis; equatorial bonds are around the ring's equator.



Diaxial Interactions
Diaxial interactions refer to steric strain between axial substituents and axial hydrogens on the same side of a cyclohexane chair conformation.

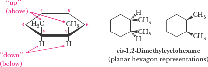
Cis, Trans Isomerism in Cycloalkanes and Bicycloalkanes
Stereoisomers and Cis, Trans Isomerism
Stereoisomers have the same molecular formula and connectivity but differ in spatial arrangement. Cis, trans isomerism occurs when substituents are on the same (cis) or opposite (trans) sides of a ring.
Cis Isomer: Substituents on the same side.
Trans Isomer: Substituents on opposite sides.
Stereocenter: Atom about which exchange of two groups produces a different stereoisomer.







Physical Properties of Alkanes and Cycloalkanes
Dispersion Forces and Physical Properties
Alkanes and cycloalkanes are nonpolar and interact via weak dispersion forces. Physical properties such as boiling and melting points depend on molecular weight and branching.
Boiling Point: Increases with molecular weight; decreases with increased branching.
Melting Point: Increases with molecular weight, but less regularly than boiling point.
State at Room Temperature: Alkanes with 1-4 carbons are gases; 5-17 are liquids; higher are solids.

Reactions of Alkanes
Oxidation (Combustion)
Alkanes undergo combustion, reacting with oxygen to produce carbon dioxide and water. The energy released is the heat of combustion, which is a measure of the compound's stability.
Combustion Reaction Example:
Stability: More branching increases alkane stability; cyclopropane releases more energy due to ring strain.
Table: Heats of Combustion for Constitutional Isomers of C8H18
Hydrocarbon | Line-angle Formula | [kJ/mol] |
|---|---|---|
Octane | Line-angle formula | -5470.6 |
2-Methylheptane | Line-angle formula | -5465.6 |
2,2-Dimethylhexane | Line-angle formula | -5458.4 |
2,2,3,3-Tetramethylbutane | Line-angle formula | -5451.8 |
Example: Arrange butane, decane, and hexane in order of increasing boiling point.
Additional info: The notes cover all major aspects of alkanes and cycloalkanes, including structure, nomenclature, isomerism, conformations, physical properties, and reactions, with relevant images and tables included for clarity.