Skip to main content
Back

IUPAC Naming of Complex Alkanes – Step-by-Step Guidance

Study Guide - Smart Notes

Tailored notes based on your materials, expanded with key definitions, examples, and context.

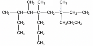
Q4. Give the IUPAC name for the following compounds:

A chemical formula with black lettersA branched alkane structure

Background

Topic: IUPAC Nomenclature of Alkanes

This question tests your ability to systematically name branched alkanes using the IUPAC rules. You need to identify the longest continuous carbon chain, number the chain to give substituents the lowest possible numbers, and name and arrange substituents alphabetically.

Key Terms and Rules:

  • Longest Chain: The parent name is based on the longest continuous chain of carbon atoms.

  • Numbering: Number the chain from the end nearest a substituent to give the lowest possible numbers to the substituents.

  • Substituents: Name and locate each alkyl group attached to the main chain.

  • Alphabetical Order: List substituents in alphabetical order (ignore prefixes like di-, tri- for alphabetizing).

  • Hyphens and Commas: Use hyphens to separate numbers from words and commas to separate numbers.

Step-by-Step Guidance

  1. Identify the longest continuous carbon chain in each structure. This will determine the parent name (e.g., hexane, heptane, etc.).

  2. Number the carbon atoms in the main chain, starting from the end closest to the first substituent. Assign numbers to each carbon in the chain.

  3. Identify and name all substituents (alkyl groups) attached to the main chain. Note their positions based on your numbering.

  4. Combine the substituent names and positions with the parent name. Arrange substituents alphabetically, and use prefixes (di-, tri-, etc.) if there are multiple identical groups.

  5. Double-check for correct use of hyphens and commas, and ensure the lowest set of locants (numbers) is used for the substituents.

Try solving on your own before revealing the answer!

Final Answer:

For image_1: 4-ethyl-2,2,5,5-tetramethylheptane

For image_2: 3-ethyl-4,4-dipropylheptane

Each name follows the IUPAC rules: the longest chain is identified, substituents are named and numbered for the lowest possible set of locants, and substituents are listed alphabetically.

Pearson Logo

Study Prep