BackComposite Functions and Their Domains
Study Guide - Smart Notes
Tailored notes based on your materials, expanded with key definitions, examples, and context.
Composite Functions
Definition and Notation
Composite functions are formed by combining two functions such that the output of one function becomes the input of another. This process is not multiplication, but rather function composition. The composite function f ○ g (read as "f composed with g") is defined as:
Definition: Given two functions f and g, the composite function f ○ g is defined by .
Domain of Composite Function: The domain of f ○ g is the set of all numbers x in the domain of g for which g(x) is in the domain of f.
Key Point: Both g(x) must be defined and f(g(x)) must be defined for a value x to be in the domain of f ○ g.

Example: Calculating Composite Functions
Suppose H(x) = (x + 4)^5. To calculate H(3):
Substitute:
General form:
We can also describe functions such as and . The composite function is:
Visual Representation of Composite Functions
The diagram below illustrates how the domain of g and the range of g interact with the domain of f to form the domain of the composite function f ○ g.

Finding the Domain of Composite Functions
Worked Example
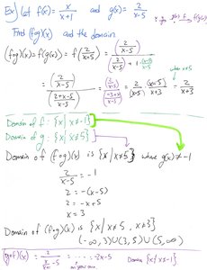
Let and . Find and its domain.
Step 1: Substitute into :
Step 2: Simplify the expression:
Step 3: Find the domain:
Domain of :
Domain of :
Domain of : where
To find where :
Domain of :

Summary Table: Domains of Functions and Composite Functions
Function | Domain |
|---|---|
Key Points for Exam Preparation
Composite functions require careful attention to the domains of both functions.
Always check for values excluded from the domain due to division by zero or undefined expressions.
Use substitution and algebraic simplification to find the explicit form of the composite function.