BackFundamental Concepts of Algebra: Numbers, Fractions, Exponents, Radicals, Logarithms, Ratios, and Sequences
Study Guide - Smart Notes
Tailored notes based on your materials, expanded with key definitions, examples, and context.
Fundamental Concepts of Algebra
Real Numbers and Integers
Understanding the types of numbers is foundational in algebra. Real numbers include all rational and irrational numbers, encompassing positive, negative, zero, fractions, and decimals. Integers are positive and negative whole numbers, including zero.
Real Number: Any number on the number line, including fractions and decimals.
Integer: Whole numbers (…,-2, -1, 0, 1, 2,…).

Properties of Operations
Algebra relies on several fundamental properties for addition and multiplication:
Commutative Property: Order does not affect the result. Addition: Multiplication:
Associative Property: Grouping does not affect the result. Addition: Multiplication:
Identity Property: Addition: Multiplication:

Order of Operations
To evaluate expressions correctly, follow the order of operations: Parentheses, Exponents, Multiplication/Division, Addition/Subtraction (PEMDAS).
Example:

Prime Numbers and Factorization
Prime numbers are numbers greater than 1 that have only two factors: 1 and themselves. Composite numbers can be written as a product of primes.
Example:

Fractions: Definitions and Operations
Fractions represent parts of a whole. Understanding how to add, subtract, multiply, and divide fractions is essential.
Adding/Subtracting Fractions: Find a common denominator, then add/subtract numerators.
Multiplying Fractions: Multiply numerators and denominators.
Dividing Fractions: Multiply by the reciprocal of the divisor.

Improper and Mixed Fractions
Improper fractions have numerators larger than denominators. Mixed fractions combine a whole number and a fraction.
Example: is improper; is mixed.

Exponents: Rules and Applications
Exponents indicate repeated multiplication. Mastery of exponent rules is crucial for algebraic manipulation.
Product Rule:
Quotient Rule:
Power Rule:
Zero Rule:
Negative Exponent:

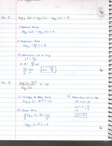
Logarithms
Logarithms are the inverse of exponents. They answer the question: "To what power must the base be raised to yield a given number?"
Definition: means
Product Rule:
Quotient Rule:
Power Rule:
Change of Base Rule:

Decimals: Operations and Scientific Notation
Decimals are another way to represent fractions. Scientific notation expresses numbers as a product of a coefficient and a power of ten.
Multiplying Decimals: Multiply as whole numbers, then count decimal places.
Scientific Notation: where and is an integer.

Ratios and Proportions
A ratio compares two quantities. A proportion is an equation stating two ratios are equal.
Example: If the ratio of A to B is 2:3, and A = 10, then B = 15.
Proportion:

Arithmetic Sequences
An arithmetic sequence is a list of numbers with a constant difference between consecutive terms.
General Term:
Sum of Sequence:

Summary Table: Properties of Real Numbers
The following table summarizes key properties of real numbers:
Property | Addition | Multiplication |
|---|---|---|
Commutative | ||
Associative | ||
Identity |

Additional info:
These notes cover foundational algebraic concepts essential for precalculus, including number types, operations, exponent and logarithm rules, fractions, ratios, and sequences.