BackQuadratic Functions: Graphs, Properties, and Applications
Study Guide - Smart Notes
Tailored notes based on your materials, expanded with key definitions, examples, and context.
Quadratic Functions
Standard Form and Characteristics
A quadratic function is a polynomial function of degree two, typically written in standard form as , where . The graph of a quadratic function is a parabola with the following properties:
Vertex: The point is the vertex of the parabola.
Axis of Symmetry: The line is the axis of symmetry.
Direction: If , the parabola opens upward; if , it opens downward.
Graphing Quadratic Functions in Standard Form
To graph :
Determine the direction of opening by the sign of .
Identify the vertex .
Find the x-intercepts by solving .
Find the y-intercept by computing .
Plot the vertex, intercepts, and additional points as needed. Connect with a smooth curve.
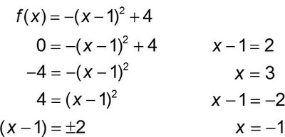
Example: Graphing
Direction: ; parabola opens downward.
Vertex: .
X-intercepts: Solve :

Results: and .
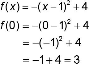
Y-intercept: .

Graph: The parabola passes through the calculated points.

Quadratic Functions in General Form
The general form is . The vertex can be found using:
X-coordinate:
Y-coordinate:

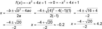
Example:
X-coordinate of vertex:

Coordinates of vertex:

Vertex:
X-intercepts: Solve using the quadratic formula:

Results: and
Y-intercept:
Axis of symmetry:
Graph:

Minimum and Maximum Values of Quadratic Functions
For :
If , the function has a minimum at .
If , the function has a maximum at .
The minimum or maximum value is .


Example:
; function has a minimum.
Minimum occurs at .
Minimum value:

Domain and Range of Quadratic Functions
The domain of any quadratic function is . The range depends on whether the function has a minimum or maximum:
If , range is .
If , range is .
Solving Optimization Problems with Quadratic Functions
Quadratic functions are often used to solve optimization problems, such as maximizing area or minimizing cost. The general strategy is:
Identify the quantity to maximize or minimize.
Express it as a function in one variable.
Rewrite in the form .
Calculate to find the optimal value.
Answer the question posed by the problem.

Example: Maximizing Area with Fixed Perimeter
Given 120 feet of fencing to enclose a rectangular region, find the dimensions that maximize the area.
Let and be the rectangle's sides. Perimeter: .
Area: .
Express in terms of : .
Area function: .

Maximum area occurs at .
Dimensions: $30 ft; maximum area is $900$ sq ft.