BackRelations, Functions, and Piecewise Functions – Study Notes
Study Guide - Smart Notes
Tailored notes based on your materials, expanded with key definitions, examples, and context.
Relations and Functions
Definitions and Basic Concepts
A relation is a set of ordered pairs, where each pair consists of an input and an output value. A function is a special type of relation in which each input value (x-value) is paired with exactly one output value (y-value). This means that in a function, no x-value is repeated with a different y-value.
Relation Example: \( \{(5,6), (0, -1), (2,3), (5, -1)\} \)
Function Example: \( \{(1,2), (2,3), (3,4)\} \) (no repeated x-values)
Non-Function Example: \( \{(5,6), (0, -1), (2,3), (5, -1)\} \) (x = 5 is repeated)
Vertical Line Test: To determine if a graph represents a function, use the vertical line test: if any vertical line intersects the graph more than once, the relation is not a function.
Domain of a Function
Determining the Domain
The domain of a function is the set of all possible input values (x-values) for which the function is defined.
Polynomial Functions: Domain is always \(( -\infty, \infty )\).
Rational Functions: Domain excludes values that make the denominator zero.
Radical (Root) Functions:
Even Roots (e.g., square roots): The expression under the root must be non-negative (\( \geq 0 \)).
Odd Roots (e.g., cube roots): Domain is \(( -\infty, \infty )\).
Example: For \( f(x) = \sqrt{3 - x^2} \), the domain is all x such that \( 3 - x^2 \geq 0 \).
Classifying Functions and Finding Domains
Examples
\( f(x) = 2x^4 - 5x + 8 \): Polynomial, domain is \(( -\infty, \infty )\).
\( g(x) = x^2 - 1 \): Polynomial, domain is \(( -\infty, \infty )\).
\( h(x) = \frac{x^2}{x^2 - 4} \): Rational, domain is all real x except \( x = 2 \) and \( x = -2 \).
\( k(x) = \frac{x}{x^2 - x} \): Rational, domain is all real x except \( x = 0 \) and \( x = 1 \).
\( f(x) = \sqrt{3 - x^2} \): Even root, domain is \( -\sqrt{3} \leq x \leq \sqrt{3} \).
\( g(x) = \sqrt[3]{5x - 1} \): Odd root, domain is \(( -\infty, \infty )\).
\( f(x) = \sqrt{5x + 1} \): Even root, domain is \( x \geq -\frac{1}{5} \).
Function Notation and Evaluation
Understanding Function Notation
Function notation uses symbols such as \( f(x) \) to represent the output of a function for a given input x. For example, if \( f(x) = x^2 + 2 \), then \( f(1) = 1^2 + 2 = 3 \).
To evaluate a function: Substitute the given value for x and simplify.
Example: If \( g(x) = x^2 + 1 \), then \( g(-4) = (-4)^2 + 1 = 17 \).
Difference Quotient
The difference quotient is a formula used to compute the average rate of change of a function over an interval. It is given by:
Example: For \( f(x) = x^2 - 3x \), the difference quotient is:
Piecewise Functions
Definition and Evaluation
A piecewise function is defined by different expressions for different intervals of the input variable. The function rule changes depending on the value of x.
To evaluate a piecewise function, determine which interval the input value falls into and use the corresponding expression.
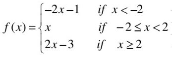
Example: For the function below, evaluate at specific points:

\( f(-3) = -2(-3) - 1 = 6 - 1 = 5 \) (since \( x < -2 \))
\( f(0) = 0 \) (since \( -2 \leq x < 2 \))
\( f(2) = 2 \times 2 - 3 = 4 - 3 = 1 \) (since \( x \geq 2 \))

The graph above visually represents the piecewise function, showing how the rule changes for different intervals of x.
Additional Examples
\( f(x) = 3x + 5 \) if \( x < 0 \); \( x + 7 \) if \( x \geq 0 \)
\( f(x) = \frac{7}{x-5} \) if \( x \neq 5 \); 10 if \( x = 5 \)
To evaluate, substitute the value of x into the appropriate formula based on the interval.
Summary Table: Function Types and Domains
Function Type | General Form | Domain |
|---|---|---|
Polynomial | \( a_n x^n + \ldots + a_1 x + a_0 \) | \(( -\infty, \infty )\) |
Rational | \( \frac{p(x)}{q(x)} \) | All real x except where \( q(x) = 0 \) |
Even Root | \( \sqrt[n]{g(x)} \), n even | \( g(x) \geq 0 \) |
Odd Root | \( \sqrt[n]{g(x)} \), n odd | \(( -\infty, \infty )\) |