BackStudy Guide: Trigonometric Functions and Their Inverses in Precalculus
Study Guide - Smart Notes
Tailored notes based on your materials, expanded with key definitions, examples, and context.
Trigonometric Functions and Their Properties
Basic Trigonometric Functions
Trigonometric functions relate angles to ratios of sides in a right triangle and are fundamental in precalculus. The primary functions are sine, cosine, and tangent, along with their reciprocals: cosecant, secant, and cotangent.
Sine Function:
Cosine Function:
Tangent Function:
Domain and Range: Sine and cosine have domains of all real numbers and ranges of .
Periodicity: All trigonometric functions are periodic, repeating their values in regular intervals.
Key Ratios: For example, .


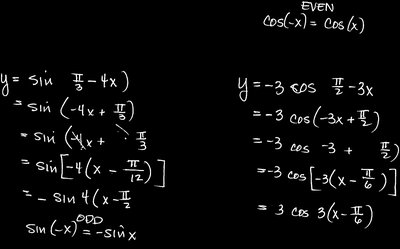
Even and Odd Functions
Trigonometric functions can be classified as even or odd, which affects their symmetry and behavior under transformations.
Even Functions: (e.g., , )
Odd Functions: (e.g., , , , )
Applications: Even functions are symmetric about the y-axis; odd functions are symmetric about the origin.

Inverse Trigonometric Functions
Definition and Properties
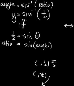
Inverse trigonometric functions allow us to find angles given a ratio. They are defined by restricting the domain of the original function to make it one-to-one.
Inverse Sine: or
Inverse Cosine: or
Inverse Tangent: or
Domain and Range:
: Domain , Range
: Domain , Range
: Domain , Range
: Domain , Range
One-to-One Requirement: Inverse functions exist only when the original function is one-to-one on the restricted domain.




Solving Equations with Inverse Functions
To solve equations involving trigonometric functions, use their inverses to find the corresponding angle.
Example: means finding such that .
General Solution: , but also consider periodicity for all solutions.
Exact Values:





Graphing and Transformations of Trigonometric Functions
General Form and Transformations
Trigonometric functions can be transformed by changing amplitude, period, phase shift, and vertical shift. The general form is:
Amplitude:
Period:
Phase Shift:
Vertical Shift: (not shown, but would be )




Function Notation and Properties
Function Notation and Evaluation
Functions are mathematical relationships where each input (independent variable) corresponds to exactly one output (dependent variable).
Notation: denotes a function of .
Example: ;
Domain (D): Set of all possible values.
Range (R): Set of all possible values.


Inverse Functions and One-to-One Criteria
Inverse functions reverse the roles of input and output. A function has an inverse if it is one-to-one (passes both the horizontal and vertical line tests).
Horizontal Line Test: Used to determine if a function is one-to-one.
Inverse Notation:
Reflection: The graph of is a reflection of across the line .
Domain and Range: The domain of is the range of and vice versa.



Special Angles and Coterminal Angles
Coterminal Angles
Coterminal angles are angles that share the same terminal side when drawn in standard position. They differ by integer multiples of radians.
Formula:
Example:

Summary Table: Domains and Ranges of Sine and Cosine and Their Inverses
Function | Domain | Range |
|---|---|---|


Trigonometric Ratios and Exact Values
Common Values
Exact values of trigonometric functions for special angles are frequently used in precalculus.


Inverse Trigonometric Equations and Solutions
Solving for Angles
To solve for angles using inverse trigonometric functions, set the function equal to a ratio and solve for the angle.
Example:
Solution:
Example:
Solution:


Summary
This study guide covers the properties, transformations, and inverses of trigonometric functions, including their domains, ranges, and exact values for special angles. Understanding these concepts is essential for solving equations and graphing functions in precalculus.