BackStudy Notes: Properties and Graphs of Rational Functions
Study Guide - Smart Notes
Tailored notes based on your materials, expanded with key definitions, examples, and context.
Chapter 5: Polynomial and Rational Functions
Properties of Rational Functions and Their Graphs
This section explores the fundamental properties of rational functions, focusing on their domains, asymptotes, and graphical analysis. Rational functions are quotients of polynomials and exhibit unique behaviors, especially near values that make the denominator zero.
Definition of a Rational Function
Rational Function: A function f(x) is rational if it can be written as f(x) = \frac{n(x)}{d(x)}, where n(x) and d(x) are polynomials and d(x) \neq 0.
Domain: The set of all real numbers except those for which d(x) = 0.
Examples of Rational Functions:
\( f(x) = \frac{x^2 - 4}{x^2 + x + 1} \)
\( g(x) = \frac{x^3}{x^2 - 4} \)
\( h(x) = \frac{3x^2}{x^4 - 1} \)
Examples of Not Rational Functions:
\( f(x) = \frac{4x}{x + 2} \) (if the numerator or denominator is not a polynomial, e.g., contains |x|)
\( g(x) = \frac{|x|}{x^2 + 5} \)
Asymptotes of Rational Functions
An asymptote is a straight line that a graph approaches but never touches. Rational functions can have three types of asymptotes:
Vertical Asymptote (VA): \( x = c \)
Horizontal Asymptote (HA): \( y = a \)
Oblique (Slant) Asymptote (OA): \( y = mx + b \)
Finding the Domain of a Rational Function
Domain Determination
To find the domain of a rational function, set the denominator equal to zero and exclude those x-values from the domain.
Example: \( f(x) = \frac{x^2 - 1}{x - 1} \) has domain \( (-\infty, 1) \cup (1, \infty) \) because the denominator is zero at \( x = 1 \).
Vertical Asymptotes and Holes
Locating Vertical Asymptotes
Vertical asymptotes occur at x-values that make the denominator zero, provided the factor does not cancel with the numerator.
For \( f(x) = \frac{x^2 - 1}{x - 1} \), factor numerator and denominator: \( f(x) = \frac{(x + 1)(x - 1)}{x - 1} \). The factor \( x - 1 \) cancels, indicating a hole at \( x = 1 \), not a vertical asymptote.
If a factor remains in the denominator after simplification, it gives a vertical asymptote.
Holes: Occur when a factor is common to both numerator and denominator. The graph is undefined at this x-value, but there is no asymptote.
Horizontal and Oblique Asymptotes
Locating Horizontal Asymptotes
If degree of numerator < degree of denominator: \( y = 0 \) is the horizontal asymptote.
If degrees are equal: \( y = \frac{a_n}{b_m} \), where \( a_n \) and \( b_m \) are the leading coefficients.
If degree of numerator > degree of denominator: No horizontal asymptote; check for oblique asymptote.
Locating Oblique (Slant) Asymptotes
If degree of numerator is exactly one more than denominator, divide numerator by denominator. The quotient (without the remainder) is the equation of the oblique asymptote.
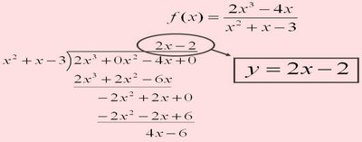
Example: For \( f(x) = \frac{2x^3 - 4x}{x^2 + x - 3} \), long division yields the oblique asymptote \( y = 2x - 2 \).

Graphical Analysis of Rational Functions
Steps to Graph a Rational Function
Find the domain of the function.
Find all asymptotes (vertical, horizontal, oblique) and holes.
Find x- and y-intercepts.
Make a sign chart to determine where the function is positive or negative.
Sketch the graph, drawing asymptotes as dashed lines and plotting intercepts and holes.
Example: Analyzing a Rational Function
Given \( R(x) = \frac{x - 1}{x - 4} \):
Domain: All real numbers except \( x = 4 \).
Vertical Asymptote: \( x = 4 \).
Horizontal Asymptote: Since degrees are equal, \( y = 1 \).
x-intercept: Set numerator to zero: \( x = 1 \).
y-intercept: Set \( x = 0 \): \( R(0) = \frac{-1}{-4} = \frac{1}{4} \).
Sample Graphs of Rational Functions
The following images illustrate rational functions with their vertical and horizontal asymptotes, as well as holes where applicable.

Practice and Application
Extra Exercises
Find the domain, asymptotes, intercepts, and analyze the sign of the following rational functions:
\( R(x) = \frac{4x}{x - 3} \)
\( H(x) = \frac{-4x^2}{(x - 2)(x + 4)} \)
\( F(x) = \frac{3x(x - 1)}{2x^2 - 5x - 3} \)
\( R(x) = \frac{x}{x^4 - 1} \)
\( H(x) = \frac{3x^2 + x}{x^2 + 4} \)
Summary Table for Rational Functions
For each rational function, fill in the following table:
Function | Domain | VA or hole | HA or OA | x-intercept |
|---|---|---|---|---|
\( R(x) = \frac{3x}{x + 4} \) | All real x except -4 | VA: x = -4 | HA: y = 0 | x = 0 |
\( F(x) = \frac{3x + 5}{x - 6} \) | All real x except 6 | VA: x = 6 | HA: y = 0 | x = -\frac{5}{3} |
\( H(x) = \frac{x^3 - 8}{x^2 - 5x + 6} \) | All real x except 2, 3 | VA: x = 2, 3 | OA: y = x | x = 2 |
\( T(x) = \frac{x^3}{x^4 - 1} \) | All real x except ±1 | VA: x = 1, -1 | HA: y = 0 | x = 0 |
Additional info: Table entries inferred for clarity and completeness.
Key Theoretical Questions
Why can the graph of a rational function cross the horizontal asymptote but not the vertical asymptote? The horizontal asymptote describes end behavior as x approaches infinity; the function may cross it for finite x. The vertical asymptote represents a value where the function is undefined and approaches infinity, so the graph cannot cross it.
How to determine if the graph will intersect the horizontal asymptote? Set the function equal to the horizontal asymptote and solve for x. If there is a real solution, the graph intersects the asymptote.
How to find the point of intersection with the horizontal asymptote? Solve \( f(x) = \text{(horizontal asymptote value)} \) for x.
Further Graphical Examples
