Skip to main content
Back

Measures of Regression and Prediction Intervals: Variation, Coefficient of Determination, and Standard Error of Estimate

Study Guide - Smart Notes

Tailored notes based on your materials, expanded with key definitions, examples, and context.

Correlation and Regression

Measures of Regression and Prediction Intervals

This section explores the quantitative assessment of how well a regression line fits a set of data. It covers the types of variation about a regression line, the coefficient of determination, and the standard error of estimate, all of which are essential for interpreting linear regression results in statistics.

Variation About a Regression Line

Types of Variation

Variation about a regression line is divided into three main types, each representing a different aspect of how data points deviate from the regression model:

  • Total Variation: The sum of the squares of the differences between each observed y-value and the mean of y. It quantifies the overall spread of the data.

  • Explained Variation: The sum of the squares of the differences between each predicted y-value (from the regression line) and the mean of y. It measures how much of the total variation is accounted for by the regression model.

  • Unexplained Variation: The sum of the squares of the differences between each observed y-value and its corresponding predicted y-value. It represents the portion of variation not explained by the regression model.

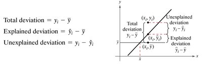
For each ordered pair in a data set, the following deviations are calculated:

  • Total deviation:

  • Explained deviation:

  • Unexplained deviation:

Deviation types and diagram

Formulas:

  • Total variation:

  • Explained variation:

  • Unexplained variation:

  • Total variation = Explained variation + Unexplained variation

Coefficient of Determination

Definition and Interpretation

The coefficient of determination, denoted as , is a statistical measure that quantifies the proportion of the total variation in the dependent variable that is explained by the regression model. It is calculated as:

  • Interpretation: An value close to 1 indicates that most of the variation in the dependent variable is explained by the regression model, while a value close to 0 indicates little explanatory power.

  • Example: In a study of children's vocabulary size and age, means that 96.4% of the variation in vocabulary size is explained by age, and 3.6% is unexplained.

Application Example:

  • Given data for building heights and number of stories, indicates that 90.5% of the variation in stories is explained by height.

Excel regression output showing R Square

Standard Error of Estimate

Definition and Calculation

The standard error of estimate () measures the average distance that the observed values fall from the regression line. It is the standard deviation of the observed values about the predicted values for a given value. The formula is:

  • Interpretation: The smaller the standard error, the closer the data points are to the regression line, indicating a better fit.

  • Calculation Steps:

    1. Make a table with columns for , , , , and .

    2. Use the regression equation to calculate predicted values.

    3. Sum the squared differences .

    4. Apply the formula to find .

Table of observed and predicted values for standard error calculation

Example: For children's age and vocabulary size, . This means the average distance from the regression line is about 186 vocabulary size units.

Excel Application: For building heights and stories, the standard error of estimate is 2.138, meaning the average distance from the regression line is about 2.138 stories.

Excel regression output showing standard error

Summary Table: Variation and Regression Measures

Measure

Formula

Interpretation

Total Variation

Overall spread of data

Explained Variation

Variation explained by regression

Unexplained Variation

Variation not explained by regression

Coefficient of Determination ()

Proportion of explained variation

Standard Error of Estimate ()

Average distance from regression line

Practice Example: Coefficient of Determination

Sample Calculation

Given temperature () and number of ice cream cones sold per hour ():

  • Data: ;

  • Possible values: 0.946, 0.973, 0.923, 0.986

  • Interpretation: The correct value indicates the proportion of variation in ice cream sales explained by temperature.

Additional info: These measures are fundamental for evaluating the effectiveness of linear regression models in statistics, and are directly relevant to Chapter 9: Correlation and Regression.

Pearson Logo

Study Prep