BackUnit 2 Exam Review – Step-by-Step Statistics Guidance
Study Guide - Smart Notes
Tailored notes based on your materials, expanded with key definitions, examples, and context.
Q1. Repair bills: Outlier Detection and Interpretation
Background
Topic: Descriptive Statistics & Outlier Detection
This question tests your understanding of how to identify outliers using summary statistics (such as quartiles and the interquartile range) and how to interpret the meaning of a value in the context of the data distribution.
Key Terms and Formulas
Quartiles (Q1, Q3): Values that divide the data into quarters.
Interquartile Range (IQR):
Outlier Rule: A value is an outlier if it is below or above .
Step-by-Step Guidance
Calculate the IQR using the given quartiles: .
Compute the lower and upper bounds for outliers:
Compare the minimum and maximum values to these bounds to determine if any are outliers.
Try solving on your own before revealing the answer!
Q2. Salary conversions: Linear Transformations of Data
Background
Topic: Linear Transformations of Random Variables
This question examines how summary statistics (mean, median, standard deviation, IQR) change when data are transformed by multiplying and/or adding constants.
Key Terms and Formulas
Linear Transformation:
Effect on Mean/Median:
Effect on Standard Deviation/IQR: (adding does not affect SD or IQR)
Z-score:
Step-by-Step Guidance
For each statistic, apply the transformation: multiply by 8 and add 200 (where appropriate).
Remember: Only the mean and median are affected by addition; SD and IQR are only affected by multiplication.
For the z-score, recall that linear transformations do not change z-scores if all data are transformed the same way.
Try solving on your own before revealing the answer!
Q3. Subaru costs: Regression Model Interpretation
Background
Topic: Linear Regression and Residual Analysis
This question asks you to interpret the fit and meaning of a regression model, including the slope and residuals, and to use the model for prediction.
Key Terms and Formulas
Regression Equation:
Coefficient of Determination (): Measures the proportion of variance explained by the model.
Residual:
Step-by-Step Guidance
Examine the value to assess how well the model explains price variation.
Interpret the slope: For each additional mile, the price decreases by the slope value.
To predict the price for 42,000 miles, substitute into the regression equation:
Calculate the product and subtract from 15,327 to get the predicted price.

Try solving on your own before revealing the answer!
Q4. Penicillin assimilation: Re-expression and Modeling
Background
Topic: Data Transformation and Nonlinear Regression
This question tests your ability to straighten a nonlinear relationship (e.g., exponential decay) by re-expressing data, and then use the model for prediction.
Key Terms and Formulas
Exponential Decay Model: or
Re-expression: Taking the logarithm of the concentration to linearize the relationship with time.
Step-by-Step Guidance
Take the logarithm of the concentration values to linearize the data.
Fit a linear regression model to the transformed data (log concentration vs. time).
Use the regression equation to predict the log concentration at 8 hours, then exponentiate to return to the original scale.
Try solving on your own before revealing the answer!
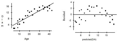
Q5. Maple trees: Scatterplots, Residuals, and Model Selection
Background
Topic: Regression Diagnostics and Model Improvement
This question asks you to interpret scatterplots and residual plots, assess model appropriateness, and compare linear and transformed models.
Key Terms and Formulas
Scatterplot: Visualizes the relationship between two variables.
Residual Plot: Shows the pattern of residuals to assess model fit.
Log Transformation: Used to linearize nonlinear relationships.
Regression Equation (log model):
Step-by-Step Guidance
Describe the association in the scatterplot (direction, form, strength, outliers).
Examine the residual plot for patterns; randomness suggests a good fit.
Discuss whether the linear model is appropriate based on the residuals.
For the log-transformed model, explain why the fit is improved (e.g., higher , more random residuals).
To predict the diameter at age 50, calculate and substitute into the regression equation, then solve for diameter.

Try solving on your own before revealing the answer!
Q6. Traffic accidents: Probability and Independence
Background
Topic: Probability Rules and Independence
This question tests your ability to use basic probability rules (addition, multiplication, complements) and to assess independence between events.
Key Terms and Formulas
Probability of Union:
Probability of Neither:
Independence: if A and B are independent
Step-by-Step Guidance
Calculate using the given probabilities.
Find the probability of neither event by taking the complement.
Check if to assess independence.
Try solving on your own before revealing the answer!
Q7. SAT prep: Conditional Probability
Background
Topic: Conditional Probability and Bayes' Theorem
This question asks you to find the probability that a student did not take an SAT prep course, given that they were admitted to their first choice college.
Key Terms and Formulas
Conditional Probability:
Bayes' Theorem:
Step-by-Step Guidance
Define the relevant events (e.g., took prep, admitted).
Calculate the probability of being admitted for both groups (prep and non-prep).
Use the law of total probability to find .
Apply Bayes' theorem to find the probability that a student did not take the prep course, given admission.
Try solving on your own before revealing the answer!
Q8. Bowling: Mean and Standard Deviation of Differences
Background
Topic: Mean and Standard Deviation of Sums/Differences of Random Variables
This question tests your understanding of how to find the mean and standard deviation of the difference between two independent random variables.
Key Terms and Formulas
Mean of Difference:
SD of Difference (independent):
Step-by-Step Guidance
Subtract the mean women's score from the mean men's score to find the expected difference.
Calculate the standard deviation of the difference using the formula for independent variables.
State the assumption of independence between men's and women's scores.
Try solving on your own before revealing the answer!
Q9. Smoking: Probability Models and Binomial Distribution
Background
Topic: Binomial Probability Model
This question asks you to apply the binomial model to a real-world context, including expected value, standard deviation, and probability calculations.
Key Terms and Formulas
Geometric Distribution (for part b):
Binomial Model:
Mean:
Standard Deviation:
Step-by-Step Guidance
For part b, use the expected value formula for the geometric distribution.
For part c, specify the binomial model and calculate mean and SD using the given parameters.
For part d, use the binomial probability formula to find .
Try solving on your own before revealing the answer!
Q10. Strange dice: Probability Model, Mean, and SD
Background
Topic: Probability Distributions for Discrete Random Variables
This question asks you to construct a probability model for the sum of two non-standard dice, and to calculate the mean and standard deviation of the total.
Key Terms and Formulas
Probability Model: List all possible outcomes and their probabilities.
Mean (Expected Value):
Standard Deviation:
Step-by-Step Guidance
List all possible sums and their probabilities by considering all combinations of Die A and Die B outcomes.
Calculate the expected value (mean) using the probability model.
Calculate the standard deviation using the formula for discrete random variables.
Try solving on your own before revealing the answer!
Q11. Still strange dice: Choosing the Best Die
Background
Topic: Probability and Strategy
This question asks you to use your probability model from the previous question to decide which die gives you a better chance of winning in a head-to-head competition.
Key Terms and Formulas
Probability of Winning: Calculate and based on the probability model.
Step-by-Step Guidance
For each possible outcome, compare the values of Die A and Die B to determine which is higher.
Sum the probabilities for all outcomes where one die beats the other.
Choose the die with the higher probability of winning and explain your reasoning.