Skip to main content
Back

How Enzymes Work: Mechanisms, Structure, and Evolution

Study Guide - Smart Notes

Tailored notes based on your materials, expanded with key definitions, examples, and context.

Section 6.1: What Is an Enzyme?

Enzymes as Biological Catalysts

Enzymes are specialized biological catalysts that accelerate chemical reactions in living organisms. Unlike non-biological catalysts, enzymes exhibit remarkable specificity and efficiency under mild physiological conditions.

  • Definition: An enzyme is a protein (or, rarely, an RNA molecule) that catalyzes a specific biochemical reaction.

  • Specificity: Enzymes are highly specific for their substrates and products due to the unique arrangement of functional groups in their active sites.

  • Classification: Enzymes are classified into seven major groups based on the type of reaction they catalyze: oxidoreductases, transferases, hydrolases, lyases, isomerases, ligases, and translocases.

  • Regulation: Enzyme activity is tightly regulated to meet the needs of the organism and respond to environmental changes.

Structure of chymotrypsin with active site residues highlighted

Enzyme Reaction Rates and Specificity

Enzymes dramatically increase reaction rates compared to uncatalyzed reactions, often by factors of 108 to 1012. Their specificity is illustrated by enzymes like chymotrypsin, which preferentially cleaves peptide bonds after phenolic amino acids.

  • Example: Chymotrypsin catalyzes the hydrolysis of p-nitrophenylacetate to produce acetate and p-nitrophenolate (yellow), demonstrating substrate specificity and measurable product formation.

Chymotrypsin-catalyzed hydrolysis of p-nitrophenylacetate

Enzyme Classification Table

Class of Enzyme

Type of Reaction Catalyzed

Oxidoreductases

Oxidation–reduction reactions

Transferases

Transfer of functional groups

Hydrolases

Hydrolysis reactions

Lyases

Group elimination to form double bonds

Isomerases

Isomerization reactions

Ligases

Bond formation coupled with ATP hydrolysis

Translocases

Solute transport through membranes

Section 6.2: Chemical Catalytic Mechanisms

Activation Energy and Reaction Rates

The rate of a chemical reaction depends on the activation energy (ΔG‡), which is the energy barrier that must be overcome for reactants to form products.

  • Transition State: The highest energy point along the reaction coordinate, where reactants are converted to products.

  • Spontaneity: The sign of ΔG determines whether a reaction is spontaneous (ΔG < 0) or non-spontaneous (ΔG > 0).

Free energy diagram showing activation energy barrierSpontaneous reaction free energy diagramNon-spontaneous reaction free energy diagram

Enzyme Catalysis: Lowering Activation Energy

Enzymes accelerate reactions by lowering the activation energy, making it easier for reactants to reach the transition state.

  • Equation:

  • Effect: More reactant molecules achieve the transition state per unit time, increasing the reaction rate.

Catalyzed vs. uncatalyzed reaction energy diagram

Cofactors in Enzyme Catalysis

Some enzymes require non-protein cofactors to assist in catalysis. Cofactors can be metal ions or organic molecules (coenzymes).

  • Metal ions: Participate in redox reactions or stabilize charged intermediates.

  • Coenzymes: Often derived from vitamins, may act as cosubstrates or prosthetic groups.

Cofactor classification diagram

Types of Chemical Catalytic Mechanisms

Enzymes use three main mechanisms to catalyze reactions:

  1. Acid-base catalysis: Proton transfer between enzyme and substrate.

  2. Covalent catalysis: Formation of a transient covalent bond between enzyme and substrate.

  3. Metal ion catalysis: Metal ions mediate redox reactions or stabilize charged groups.

Acid catalysis mechanismBase catalysis mechanism

Covalent Catalysis and Reaction Intermediates

In covalent catalysis, a nucleophilic group in the enzyme forms a covalent intermediate with the substrate, resulting in a two-step reaction with two energy barriers.

  • Example: Serine, cysteine, lysine, and histidine side chains can act as nucleophiles in covalent catalysis.

Two-step reaction coordinate diagram for covalent catalysisAmino acid side chains acting as nucleophiles

Metal Ion Catalysis Example

  • Example: Alcohol dehydrogenase uses a zinc ion to stabilize the transition state during the conversion of acetaldehyde to ethanol.

Alcohol dehydrogenase reaction with zinc ion

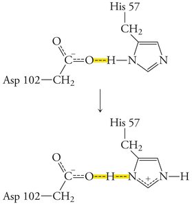
The Catalytic Triad of Chymotrypsin

Chymotrypsin uses a hydrogen-bonded network of Asp 102, His 57, and Ser 195 to facilitate peptide bond hydrolysis.

  • Mechanism: His 57 acts as a base, abstracting a proton from Ser 195, enabling nucleophilic attack on the substrate. Asp 102 stabilizes the positively charged His 57.

Chymotrypsin catalytic triad structureChymotrypsin reaction mechanism steps

Section 6.3: Unique Properties of Enzyme Catalysts

Active Site Structure and Catalysis

The structure of the enzyme active site is crucial for catalysis, providing specificity and facilitating transition state stabilization.

  • Lock-and-key model: Proposes that the substrate fits precisely into the active site, but does not account for enzyme flexibility or product release.

  • Induced fit model: Suggests that enzymes undergo conformational changes upon substrate binding, optimizing interactions for catalysis.

Transition State Stabilization

Enzymes stabilize the transition state, often through features like the oxyanion hole in serine proteases, which forms hydrogen bonds with the substrate's anionic oxygen.

  • Low-barrier hydrogen bonds: Strong hydrogen bonds that further stabilize the transition state.

Transition state in serine protease mechanismLow-barrier hydrogen bond formation in chymotrypsinAsp 102—His 57 hydrogen bond in chymotrypsin

Proximity and Orientation Effects

Enzymes increase reaction rates by bringing reactants into close proximity and correct orientation, reducing the entropy barrier.

  • Example: Reactants in solution must collide with the correct orientation, but enzyme binding restricts their motion and aligns them for reaction.

Proximity and orientation effects in enzyme catalysis

Induced Fit Model Example: Hexokinase

Hexokinase undergoes a conformational change upon glucose binding, enclosing the substrate and excluding water, which enhances catalysis.

  • Reaction:

Hexokinase conformational change upon substrate bindingHexokinase lobes enclosing glucose

Section 6.4: Chymotrypsin in Context

Enzyme Evolution: Divergent and Convergent

Enzymes can evolve similar mechanisms through divergent or convergent evolution.

  • Divergent evolution: Chymotrypsin, trypsin, and elastase share a common ancestor and retain similar structures and catalytic mechanisms.

  • Convergent evolution: Subtilisin, a bacterial serine protease, evolved a similar catalytic triad and oxyanion hole independently of chymotrypsin.

Superimposed structures of chymotrypsin, trypsin, and elastaseStructure of subtilisin with catalytic triad highlighted

Specificity Pockets of Serine Proteases

The substrate specificity of serine proteases is determined by the chemical character of the specificity pocket at the active site.

  • Chymotrypsin: Prefers large hydrophobic side chains (e.g., Phe).

  • Trypsin: Prefers positively charged side chains (e.g., Lys, Arg).

  • Elastase: Prefers small side chains (e.g., Ala, Gly, Val).

Specificity pockets of chymotrypsin, trypsin, and elastase

Zymogen Activation and Protease Inhibition

Proteases are often synthesized as inactive precursors (zymogens) and activated by proteolysis. Protease inhibitors regulate activity by blocking the active site.

  • Zymogen activation: Chymotrypsinogen is activated by trypsin-mediated cleavage, followed by further processing to yield active chymotrypsin species.

  • Protease inhibitors: Small proteins that bind to and block the active site of proteases, preventing unwanted proteolysis.

Activation of chymotrypsinogenTrypsin-mediated activation of chymotrypsinogenTrypsin inhibitor blocking the active site

Optional: Section 6.5 Clinical Connection – Blood Coagulation

Blood Coagulation as a Protease Cascade

Blood coagulation is a cascade of proteolytic activations, resulting in the formation of a fibrin clot to stop bleeding.

  • Fibrin: Polymerizes to form a mesh that traps blood cells at the site of injury.

  • Coagulation cascade: Sequential activation of proteases, starting with tissue factor exposure and culminating in thrombin-mediated conversion of fibrinogen to fibrin.

  • Antithrombin: Inhibits multiple coagulation proteases, preventing excessive clot formation.

Fibrin mesh trapping red blood cells in a blood clotFibrinogen conversion to fibrin polymerCoagulation cascade diagramAntithrombin structure with reactive loopAdditional info: Blood coagulation is not required for assessments but illustrates the physiological importance of protease regulation and cascade amplification in biochemistry.

Pearson Logo

Study Prep